生物技术通报 ›› 2025, Vol. 41 ›› Issue (11): 153-165.doi: 10.13560/j.cnki.biotech.bull.1985.2025-0738
• 未来食品工程专题 • 上一篇
张严化1(
), 曲文龙1, 戴文静1, 张睿宁1, 刘羽鸿2, 王德培1, 薛鲜丽1(
)
收稿日期:2025-07-10
出版日期:2025-11-26
发布日期:2025-12-09
通讯作者:
薛鲜丽,博士,副教授,研究方向 :微生物基因工程;E-mail: xuexianli@tust.edu.cn作者简介:张严化,硕士研究生,研究方向 :微生物基因工程;E-mail: 15265221256@163.com
基金资助:
ZHANG Yan-hua1(
), QU Wen-long1, DAI Wen-jing1, ZHANG Rui-ning1, LIU Yu-hong2, WANG De-pei1, XUE Xian-li1(
)
Received:2025-07-10
Published:2025-11-26
Online:2025-12-09
摘要:
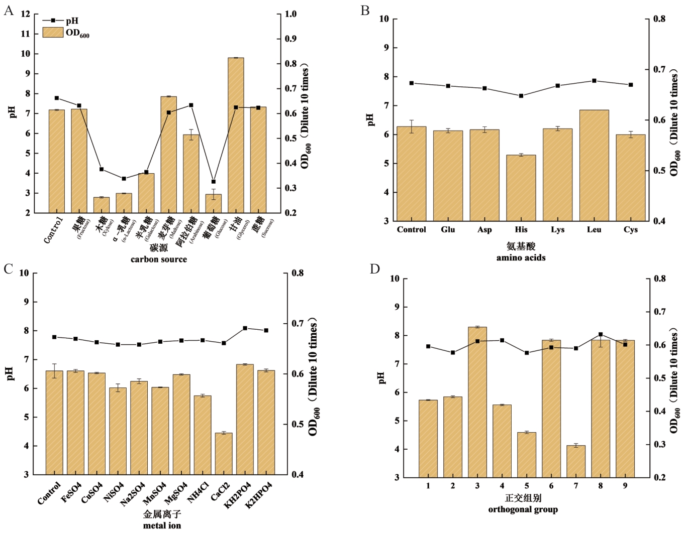
目的 从天津市滨海新区近岸海域微生物资源中分离筛选一株具有天然合成维生素B13能力的不动杆菌Acinetobacter sp. WJ01,并探究菌株最佳发酵条件。 方法 对WJ01菌株进行筛选鉴定和生理生化特性分析,并通过HPLC、紫外扫描光谱、红外光谱和拉曼光谱分析其产酸物质,以单因素试验和正交试验进行种子培养基及发酵培养基优化,最后在5 L发酵罐中进行放大实验。 结果 不动杆菌WJ01是一株革兰氏阴性菌,对环丙沙星(CIP)、左氧氟沙星(LEV)、米诺环素(MI)、多西环素(DO)抗生素高度敏感;多种光谱分析结合分子式C₅H₄N₂O₄,确定WJ01菌株是一株能够生产维生素B13的不动杆菌;最佳种子培养参数:pH 7.0、温度37 ℃、转速180 r/min、种子生长时间24 h;最佳发酵培养参数:CaCO3 6%、接种量2%、温度35 ℃、转速200 r/min。经5 L发酵罐培养生产维生素B13,发酵80 h时维生素B13的产量可高达112.46 g/L,发酵强度1.49 g/L/h,糖酸转化率为0.76 g/g。 结论 不动杆菌Acinetobacter sp. WJ01为微生物发酵法产维生素B13提供了优良菌种。
张严化, 曲文龙, 戴文静, 张睿宁, 刘羽鸿, 王德培, 薛鲜丽. 一株高产维生素B13不动杆菌鉴定及发酵条件优化[J]. 生物技术通报, 2025, 41(11): 153-165.
ZHANG Yan-hua, QU Wen-long, DAI Wen-jing, ZHANG Rui-ning, LIU Yu-hong, WANG De-pei, XUE Xian-li. Identification of a High-yielding Vitamin B 13Acinetobacter Strain and Optimization of Its Fermentation Conditions[J]. Biotechnology Bulletin, 2025, 41(11): 153-165.
水平 Level | A甘油 Glycerol (%) | B豆粕粉 Soybean meal powder (%) | C磷酸二氢钾 KH2PO4 (mg/L) |
|---|---|---|---|
| 1 | 2 | 0.5 | 80 |
| 2 | 4 | 1 | 100 |
| 3 | 6 | 1.5 | 120 |
表1 WJ01种子培养基正交实验因素及水平
Table 1 Orthogonal experimental factors and levels of WJ01 seed medium
水平 Level | A甘油 Glycerol (%) | B豆粕粉 Soybean meal powder (%) | C磷酸二氢钾 KH2PO4 (mg/L) |
|---|---|---|---|
| 1 | 2 | 0.5 | 80 |
| 2 | 4 | 1 | 100 |
| 3 | 6 | 1.5 | 120 |
水平 Level | 葡萄糖 Glucose (g/L) | 玉米浆 Corn syrup (%) | 谷氨酸 Glutamic acid (mg/L) | 维生素B5 VB5(mg/L) |
|---|---|---|---|---|
| 1 | 60 | 0.25 | 80 | 2.5 |
| 2 | 80 | 0.5 | 100 | 5 |
| 3 | 100 | 0.75 | 120 | 7 |
表2 WJ01发酵培养基A组正交实验因素及水平
Table 2 Factors and levels of orthogonal experiments in group A of WJ01 fermentation medium
水平 Level | 葡萄糖 Glucose (g/L) | 玉米浆 Corn syrup (%) | 谷氨酸 Glutamic acid (mg/L) | 维生素B5 VB5(mg/L) |
|---|---|---|---|---|
| 1 | 60 | 0.25 | 80 | 2.5 |
| 2 | 80 | 0.5 | 100 | 5 |
| 3 | 100 | 0.75 | 120 | 7 |
| 水平 Level | KH2PO4 (mg/L) | Na2SO4 (mg/L) | CaCl2 (mg/L) | MgSO4 (mg/L) |
|---|---|---|---|---|
| 1 | 80 | 80 | 80 | 80 |
| 2 | 100 | 100 | 100 | 100 |
| 3 | 120 | 120 | 120 | 120 |
表3 WJ01发酵培养基B组正交实验因素及水平
Table 3 Factors and levels of orthogonal experiments in group B of WJ01 fermentation medium
| 水平 Level | KH2PO4 (mg/L) | Na2SO4 (mg/L) | CaCl2 (mg/L) | MgSO4 (mg/L) |
|---|---|---|---|---|
| 1 | 80 | 80 | 80 | 80 |
| 2 | 100 | 100 | 100 | 100 |
| 3 | 120 | 120 | 120 | 120 |
图1 菌株WJ01鉴定结果A:LB培养基菌落形态(左)及革兰氏染色结果(右);B:WJ01菌株16S rDNA基因PCR电泳图(M:DL2000 marker;1-4:WJ01菌株16S rRNA PCR扩增产物);C:基于16S rDNA序列WJ01菌株的系统进化树
Fig. 1 Identification of WJ01 strainA: Colony morphology of LB medium (left) and the gram stain results (right). B: PCR electropherogram of 16S rDNA gene of strain WJ01 (M: DL2000 marker; 1-4: 16S rDNA PCR amplification products of WJ01 strain). C: Phylogenetic tree of strain WJ01 based on 16S rDNA sequence
编号 Number | 抗生素种类 Types of antibiotics | WJ01 (mm) | 编号 Number | 抗生素种类 Type of antibiotics | WJ01 (mm) |
|---|---|---|---|---|---|
| 1 | 左氧氟沙星(LEV) | 30(+++) | 16 | 四环素(TET) | 18(++) |
| 2 | 环丙沙星(CIP) | 27(+++) | 17 | 万古霉素(VAN) | X |
| 3 | 头孢氨苄(CN) | X | 18 | 米诺环素(MI) | 21(+++) |
| 4 | 诺氟沙星(NOR) | 20(++) | 19 | 氨苄西林(AMP) | X |
| 5 | 头孢呋辛钠(CXM) | 9(+) | 20 | 哌拉西林(PIP) | 15(++) |
| 6 | 头孢曲松(CTR) | 15(++) | 21 | 氟苯尼考(FFC) | X |
| 7 | 头孢唑林(CZ) | X | 22 | 多黏菌素(PB) | 20(++) |
| 8 | 头孢他啶(CAZ) | 18(++) | 23 | 林可霉素(MY) | X |
| 9 | 青霉素(PEN) | X | 24 | 复方新诺明(SXT) | 12(++) |
| 10 | 头孢哌酮(CPZ) | 10(+) | 25 | 庆大霉素(GEN) | X |
| 11 | 苯唑西林(OX) | X | 26 | 卡那霉素(KAN) | X |
| 12 | 亚胺培南(IPM) | X | 27 | 克林霉素(CC) | X |
| 13 | 氯霉素(C) | X | 28 | 多西环素(DO) | 26(+++) |
| 14 | 链霉素(S) | 10(+) | 29 | 阿米卡星(AMK) | X |
| 15 | 红霉素(E) | X | 30 | 阿奇霉素(AZI) | X |
表4 WJ01菌株药敏实验
Table 4 Antimicrobial susceptibility testing results of WJ01 strain
编号 Number | 抗生素种类 Types of antibiotics | WJ01 (mm) | 编号 Number | 抗生素种类 Type of antibiotics | WJ01 (mm) |
|---|---|---|---|---|---|
| 1 | 左氧氟沙星(LEV) | 30(+++) | 16 | 四环素(TET) | 18(++) |
| 2 | 环丙沙星(CIP) | 27(+++) | 17 | 万古霉素(VAN) | X |
| 3 | 头孢氨苄(CN) | X | 18 | 米诺环素(MI) | 21(+++) |
| 4 | 诺氟沙星(NOR) | 20(++) | 19 | 氨苄西林(AMP) | X |
| 5 | 头孢呋辛钠(CXM) | 9(+) | 20 | 哌拉西林(PIP) | 15(++) |
| 6 | 头孢曲松(CTR) | 15(++) | 21 | 氟苯尼考(FFC) | X |
| 7 | 头孢唑林(CZ) | X | 22 | 多黏菌素(PB) | 20(++) |
| 8 | 头孢他啶(CAZ) | 18(++) | 23 | 林可霉素(MY) | X |
| 9 | 青霉素(PEN) | X | 24 | 复方新诺明(SXT) | 12(++) |
| 10 | 头孢哌酮(CPZ) | 10(+) | 25 | 庆大霉素(GEN) | X |
| 11 | 苯唑西林(OX) | X | 26 | 卡那霉素(KAN) | X |
| 12 | 亚胺培南(IPM) | X | 27 | 克林霉素(CC) | X |
| 13 | 氯霉素(C) | X | 28 | 多西环素(DO) | 26(+++) |
| 14 | 链霉素(S) | 10(+) | 29 | 阿米卡星(AMK) | X |
| 15 | 红霉素(E) | X | 30 | 阿奇霉素(AZI) | X |
实验组 Experimental group | A | B | C | 实验结果 Experimental results |
|---|---|---|---|---|
| 实验1 | 1 | 1 | 1 | 0.434 |
| 实验2 | 1 | 2 | 2 | 0.444 |
| 实验3 | 1 | 3 | 3 | 0.654 |
| 实验4 | 2 | 1 | 2 | 0.419 5 |
| 实验5 | 2 | 2 | 3 | 0.336 5 |
| 实验6 | 2 | 3 | 1 | 0.614 5 |
| 实验7 | 3 | 1 | 3 | 0.297 |
| 实验8 | 3 | 2 | 1 | 0.615 |
| 实验9 | 3 | 3 | 2 | 0.614 |
| 均值1 | 0.511 | 0.383 | 0.554 | |
| 均值2 | 0.457 | 0.465 | 0.493 | |
| 均值3 | 0.509 | 0.627 | 0.429 | |
| 极差 | 0.054 | 0.244 | 0.125 |
表5 WJ01种子培养基正交实验结果
Table 5 Orthogonal experiment results of WJ01 seed medium
实验组 Experimental group | A | B | C | 实验结果 Experimental results |
|---|---|---|---|---|
| 实验1 | 1 | 1 | 1 | 0.434 |
| 实验2 | 1 | 2 | 2 | 0.444 |
| 实验3 | 1 | 3 | 3 | 0.654 |
| 实验4 | 2 | 1 | 2 | 0.419 5 |
| 实验5 | 2 | 2 | 3 | 0.336 5 |
| 实验6 | 2 | 3 | 1 | 0.614 5 |
| 实验7 | 3 | 1 | 3 | 0.297 |
| 实验8 | 3 | 2 | 1 | 0.615 |
| 实验9 | 3 | 3 | 2 | 0.614 |
| 均值1 | 0.511 | 0.383 | 0.554 | |
| 均值2 | 0.457 | 0.465 | 0.493 | |
| 均值3 | 0.509 | 0.627 | 0.429 | |
| 极差 | 0.054 | 0.244 | 0.125 |
实验组 Experimental group | A | B | C | D | 实验结果 Experimental results |
|---|---|---|---|---|---|
| 实验1 | 1 | 1 | 1 | 1 | 32.91 |
| 实验2 | 1 | 2 | 2 | 2 | 13.61 |
| 实验3 | 1 | 3 | 3 | 3 | 36.73 |
| 实验4 | 2 | 1 | 2 | 3 | 55.98 |
| 实验5 | 2 | 2 | 3 | 1 | 50.25 |
| 实验6 | 2 | 3 | 1 | 2 | 52.26 |
| 实验7 | 3 | 1 | 3 | 2 | 73.83 |
| 实验8 | 3 | 2 | 1 | 3 | 72.11 |
| 实验9 | 3 | 3 | 2 | 1 | 68.47 |
| 均值1 | 27.75 | 54.24 | 52.427 | 50.543 | |
| 均值2 | 52.83 | 45.323 | 46.02 | 46.567 | |
| 均值3 | 71.47 | 52.487 | 53.603 | 54.94 | |
| 极差 | 43.72 | 8.917 | 7.583 | 8.373 |
表6 WJ01发酵培养基A组正交实验结果
Table 6 Results of orthogonal experiments of group A of WJ01 fermentation medium
实验组 Experimental group | A | B | C | D | 实验结果 Experimental results |
|---|---|---|---|---|---|
| 实验1 | 1 | 1 | 1 | 1 | 32.91 |
| 实验2 | 1 | 2 | 2 | 2 | 13.61 |
| 实验3 | 1 | 3 | 3 | 3 | 36.73 |
| 实验4 | 2 | 1 | 2 | 3 | 55.98 |
| 实验5 | 2 | 2 | 3 | 1 | 50.25 |
| 实验6 | 2 | 3 | 1 | 2 | 52.26 |
| 实验7 | 3 | 1 | 3 | 2 | 73.83 |
| 实验8 | 3 | 2 | 1 | 3 | 72.11 |
| 实验9 | 3 | 3 | 2 | 1 | 68.47 |
| 均值1 | 27.75 | 54.24 | 52.427 | 50.543 | |
| 均值2 | 52.83 | 45.323 | 46.02 | 46.567 | |
| 均值3 | 71.47 | 52.487 | 53.603 | 54.94 | |
| 极差 | 43.72 | 8.917 | 7.583 | 8.373 |
实验组 Experimental group | A | B | C | D | 实验结果 Experimental results |
|---|---|---|---|---|---|
| 实验1 | 1 | 1 | 1 | 1 | 83.55 |
| 实验2 | 1 | 2 | 2 | 2 | 84.97 |
| 实验3 | 1 | 3 | 3 | 3 | 46.58 |
| 实验4 | 2 | 1 | 2 | 3 | 47.32 |
| 实验5 | 2 | 2 | 3 | 1 | 82.69 |
| 实验6 | 2 | 3 | 1 | 2 | 83.77 |
| 实验7 | 3 | 1 | 3 | 2 | 84.24 |
| 实验8 | 3 | 2 | 1 | 3 | 82.66 |
| 实验9 | 3 | 3 | 2 | 1 | 79.3 |
| 均值1 | 71.7 | 71.703 | 83.327 | 81.847 | |
| 均值2 | 71.26 | 83.44 | 70.53 | 84.327 | |
| 均值3 | 82.067 | 69.883 | 71.17 | 58.853 | |
| 极差 | 10.807 | 13.557 | 12.797 | 25.474 |
表7 WJ01发酵培养基B组正交实验结果
Table 7 Results of orthogonal experiments of group B of WJ01 fermentation medium
实验组 Experimental group | A | B | C | D | 实验结果 Experimental results |
|---|---|---|---|---|---|
| 实验1 | 1 | 1 | 1 | 1 | 83.55 |
| 实验2 | 1 | 2 | 2 | 2 | 84.97 |
| 实验3 | 1 | 3 | 3 | 3 | 46.58 |
| 实验4 | 2 | 1 | 2 | 3 | 47.32 |
| 实验5 | 2 | 2 | 3 | 1 | 82.69 |
| 实验6 | 2 | 3 | 1 | 2 | 83.77 |
| 实验7 | 3 | 1 | 3 | 2 | 84.24 |
| 实验8 | 3 | 2 | 1 | 3 | 82.66 |
| 实验9 | 3 | 3 | 2 | 1 | 79.3 |
| 均值1 | 71.7 | 71.703 | 83.327 | 81.847 | |
| 均值2 | 71.26 | 83.44 | 70.53 | 84.327 | |
| 均值3 | 82.067 | 69.883 | 71.17 | 58.853 | |
| 极差 | 10.807 | 13.557 | 12.797 | 25.474 |
| [1] | Löffler M, Carrey EA, Zameitat E. Orotate (orotic acid): an essential and versatile molecule [J]. Nucleosides Nucleotides Nucleic Acids, 2016, 35(10-12): 566-577. |
| [2] | 王新利, 张莉. 乳清酸异构化反应的理论研究 [J]. 泰山学院学报, 2011, 33(6): 74-79. |
| Wang XL, Zhang L. Theoretical investigation on the isomerization reactions of orotic acid [J]. J Taishan Univ, 2011, 33(6): 74-79. | |
| [3] | 刘春花, 左涛, 王静凤, 等. 乳清酸诱导的大鼠非酒精性脂肪肝与糖耐量异常和高血压关系的研究 [J]. 营养学报, 2013, 35(1): 23-26. |
| Liu CH, Zuo T, Wang JF, et al. Relationship between orotic acid induced fatty liver, abnormal glucose tolerance and high blood pressure in rats [J]. Acta Nutr Sin, 2013, 35(1): 23-26. | |
| [4] | 佟臻, 韦阳, 高彦祥. 关于CoQ10传递体系的研究进展 [J]. 中国食品添加剂, 2018, 29(10): 201-210. |
| Tong Z, Wei Y, Gao YX. Research progress on coenzyme Q10 delivery system [J]. China Food Addit, 2018, 29(10): 201-210. | |
| [5] | 张增弟. 苦参碱联合胃复春片治疗慢性萎缩性胃炎疗效及对Hp转阴率的影响 [J]. 中外医疗, 2017, 36(35): 16-17, 29. |
| Zhang ZD. Curative effect of matrine combined with weifuchunpian in treatment of chronic atrophic gastritis and effect on the hp negative conversion rate [J]. China Foreign Med Treat, 2017, 36(35): 16-17, 29. | |
| [6] | 刘丽, 启航, 夏远征, 等. 尿素包合法纯化共轭亚油酸条件的优化研究 [J]. 食品研究与开发, 2006, 27(11): 133-136. |
| Liu L, Qi H, Xia YZ, et al. Optimize study on purified condition of cla with the method of urea including [J]. Food Res Dev, 2006, 27(11): 133-136. | |
| [7] | 郝柿田. 乳清酸合成工艺研究 [D]. 天津: 河北工业大学, 2019. |
| Hao ST. Study on the synthesis of orotic acid [D]. Tianjin: Hebei University of Technology, 2019. | |
| [8] | 龙赟而, 潘瑞雪, 赵一宁, 等. 一株海洋源皮特不动杆菌的分离鉴定及其全基因测序分析 [J]. 微生物学通报, 2025, 52(6): 2501-2516. |
| Long YE, Pan RX, Zhao YN, et al. Isolation, identification, and whole genome sequencing of a marine-derived strain of Acinetobacter pittii [J]. Microbiol China, 2025, 52(6): 2501-2516. | |
| [9] | Salerno C, Crifò C. Diagnostic value of urinary orotic acid levels: applicable separation methods [J]. J Chromatogr B, 2002, 781(1/2): 57-71. |
| [10] | 陈晓龙, 李吉民, 支兴扬, 等. 一种制备乳清酸的方法: CN107200714A [P]. 2017-09-26. |
| Chen XL, Li JM, Zhi XY, et al. Method for preparing orotic acid: CN107200714A [P]. 2017-09-26. | |
| [11] | Carvalho N, Coelho E, Gales L, et al. Production of orotic acid by a Klura3Δ mutant of Kluyveromyces lactis [J]. J Biosci Bioeng, 2016, 121(6): 625-630. |
| [12] | 赵梦圆. 大肠杆菌生物合成乳清酸途径的优化 [D]. 北京: 北京化工大学, 2020. |
| Zhao MY. Optimization of biosynthesis of orotic acid in Escherichia coli [D]. Beijing: Beijing University of Chemical Technology, 2020. | |
| [13] | 徐庆阳, 李长庚, 孙鹏杰. 一种生产乳清酸的基因工程菌及其构建方法与应用: CN120173846A [P]. 2023-11-03. |
| Xu QY, Li CG, Sun PJ. A genetically engineered bacteria for the production of orotate acid and its construction method and application: CN120173846A [P]. 2023-11-03. | |
| [14] | 张一平, 柏建新, 朱晓宏, 等. 微生物发酵法生产乳清酸 [J]. 无锡轻工大学学报, 2003, 22(3): 32-35, 40. |
| Zhang YP, Bai JX, Zhu XH, et al. Studies on the orotic acid production by fermentation [J]. J Wuxi Univ Light Ind, 2003, 22(3): 32-35, 40. | |
| [15] | Santos JD, Vitorino I, Reyes F, et al. From ocean to medicine: pharmaceutical applications of metabolites from marine bacteria [J]. Antibiotics, 2020, 9(8): 455. |
| [16] | 翟盼盼, 吴宇骞, 陆坚. 不动杆菌属分类的研究进展 [J]. 新发传染病电子杂志, 2020, 5(1): 51-55, 59. |
| Zhai PP, Wu YQ, Lu J. Progress of study on Acinetobacter classification [J]. Electron J Emerg Infect Dis, 2020, 5(1): 51-55, 59. | |
| [17] | Kong XG, Guo ZA, Yao Y, et al. Acetic acid alters rhizosphere microbes and metabolic composition to improve willows drought resistance [J]. Sci Total Environ, 2022, 844: 157132. |
| [18] | 雷利杰. 富产异戊二烯杜仲内生细菌的分离及其遗传转化系统的建立 [D]. 成都: 西南交通大学, 2023. |
| Lei LJ. Isolation and establishment of genetic transformation system of isoprene producing endophytic bacteria from Eucommia Ulmoides [D]. Chengdu: Southwest Jiaotong University, 2023. | |
| [19] | 山丹. 耐冷苯胺降解菌的特性及其对苯胺废水处理的强化作用 [D]. 哈尔滨: 哈尔滨工业大学, 2008. |
| Shan D. Characteristics of cold-resistant aniline-degrading bacteria and it’s bioaugmentation of aniline wastewater treatment [D]. Harbin: Harbin Institute of Technology, 2008. | |
| [20] | 王增光. 产细菌素乳酸菌筛选及其细菌素分离和理化特性的研究 [D]. 长沙: 湖南农业大学, 2023. |
| Wang ZG. Screening of bacteriocin-producing Lactobacillus and its bacteriocin isolation and physicochemical properties [D]. Changsha: Hunan Agricultural University, 2023. | |
| [21] | 杨成武. 紫穗槐叶黄酮类化合物的提取、纯化、初步鉴定研究 [D]. 哈尔滨: 东北林业大学, 2015. |
| Yang CW. Study the extraction、purifition、preliminary identification of flavonoids from Amoroha Fruticosa L. leaves [D]. Harbin: Northeast Forestry University, 2015. | |
| [22] | 李昊燃. 红茶菌中细菌纤维素产生菌的筛选鉴定及发酵条件优化 [D]. 开封: 河南大学, 2016. |
| Li HR. Screening and identification of a strain producing bacterial cellolose from kombuchaand purification of fermentation process [D]. Kaifeng: Henan University, 2016. | |
| [23] | 黄淑银. 产虾青素副球菌的选育和发酵工艺优化及拉曼定量分析模型建立 [D]. 华南理工大学, 2024. |
| Huang SY. Breeding and fermentation condition optimization of astaxanthin-producing Paracoccus .sp and establishment of ramanquantitative analysis model [D]. Guangzhou: South China University of Technology, 2024. | |
| [24] | 尤田. 产黄色素细菌的鉴定及其发酵提取与性质研究 [D]. 天津: 天津科技大学, 2023. |
| You T. Identification of yellow pigment-producing bacteria and its fermentation extraction and properties [D]. Tianjin: Tianjin University of Science & Technology, 2023. | |
| [25] | 张盼, 王伟楠, 樊永红. 盐穗木根际土壤产ACC脱氨酶细菌的筛选与鉴定 [J]. 新疆农业科学, 2018, 55(11): 2112-2121. |
| Zhang P, Wang WN, Fan YH. Isolation and identification of ACC deamiase producing bacteria in the soil of Halostachys caspica [J]. Xinjiang Agric Sci, 2018, 55(11): 2112-2121. | |
| [26] | 王雪. 底栖动物扰动对湖泊沉积物中氨氧化菌及氨氧化过程的影响研究 [D]. 南京: 南京师范大学, 2014. |
| Wang X. Effects of benthic disturbance on ammonia-oxidizing bacteria and ammonia oxidation processes in lake sediments [D]. Nanjing: Nanjing Normal University, 2014. | |
| [27] | Diez-Simon C, Ammerlaan B, van den Berg M, et al. Comparison of volatile trapping techniques for the comprehensive analysis of food flavourings by Gas Chromatography-Mass Spectrometry [J]. J Chromatogr A, 2020, 1624: 461191. |
| [28] | Wang HR, Su XZ, Zhang XB. A maleinuric acid/acrylic acid copolymer with functions of softening wet-blue and scavenging free formaldehyde in leather [J]. Adv Mater Res, 2013, 791/792/793: 36-39. |
| [29] | Castanedo GM, Seng PS, Blaquiere N, et al. Rapid synthesis of 1, 3, 5-substituted 1, 2, 4-triazoles from carboxylic acids, amidines, and hydrazines [J]. J Org Chem, 2011, 76(4): 1177-1179. |
| [30] | Swietalski P, Hetzel F, Klaiber I, et al. Orotic acid production by Yarrowia lipolytica under conditions of limited pyrimidine [J]. Yeast, 2022, 39(3): 230-240. |
| [31] | 张震, 熊海波, 徐庆阳. 大肠杆菌高密度培养发酵L-色氨酸 [J]. 食品与发酵工业, 2019, 45(23): 15-20. |
| Zhang Z, Xiong HB, Xu QY. L-tryptophan fermentation by high cell density culture of Escherichia coli [J]. Food Ferment Ind, 2019, 45(23): 15-20. | |
| [32] | 王越男, 米智慧, 李常坤, 等. 基于UPLC-Q-TOF-MS的植物乳杆菌P-8发酵乳代谢物轮廓分析 [J]. 食品工业科技, 2019, 40(11): 152-160. |
| Wang YN, Mi ZH, Li CK, et al. Metabolites profile analysis of fermented milk with Lactobacillus plantarum P-8 based on ultra-performance liquid chromatography-quadrupole-time of flight mass spectrometry(UPLC-Q-TOF-MS) [J]. Sci Technol Food Ind, 2019, 40(11): 152-160. | |
| [33] | 杨松林. 一株奇异球菌的分离鉴定、类胡萝卜素纯化及发酵条件的优化 [D]. 呼和浩特: 内蒙古农业大学, 2018. |
| Yang SL. Isolation and identification of a Deinococcus, carotenoid purification and optimization of fermentation conditions [D]. Hohhot: Inner Mongolia Agricultural University, 2018. | |
| [34] | 王丹华. 硫化物定向调控短程硝化耦合厌氧氨氧化脱氮工艺与机理 [D]. 合肥: 中国科学技术大学, 2024. |
| Wang DH. Sulfide directed regulation of partial nitrification coupled with anaerobic ammonia oxidation denitrification process and mechanism [D]. Hefei: University of Science and Technology of China, 2024. | |
| [35] | 李长庚, 龚雨, 宗媛, 等. B族维生素对大肠杆菌发酵生产乳清酸的影响 [J]. 食品与发酵工业, 2023, 49(13): 56-63. |
| Li CG, Gong Y, Zong Y, et al. Effect of B vitamins on the production of orotic acid by fermentation of Escherichia coli [J]. Food Ferment Ind, 2023, 49(13): 56-63. | |
| [36] | 李澜潇, 王硕, 徐庆阳. 金属离子及生长因子对核黄素发酵影响的研究 [J]. 食品与发酵工业, 2023, 49(10): 177-184. |
| Li LX, Wang S, Xu QY. Effects of metal ions and growth factors on riboflavin fermentation [J]. Food Ferment Ind, 2023, 49(10): 177-184. |
| [1] | 平怀磊, 郭雪, 余潇, 宋静, 杜春, 王娟, 张怀璧. 滇牡丹PdANS的克隆、表达及与花青素含量的相关性[J]. 生物技术通报, 2023, 39(3): 206-217. |
| [2] | 邓超, 杜秀娟, 黄涛, 郭英, 李炳学, 卜宁. 碳氮比对固氮菌株WN-F合成胞外多糖的影响[J]. 生物技术通报, 2018, 34(3): 194-199. |
| [3] | 杨静,李庆刚,徐国栋,郑小梅,郑平,牟海津. 产O-乙酰高丝氨酸的大肠杆菌构建与发酵测试[J]. 生物技术通报, 2017, 33(9): 200-209. |
| [4] | 胡基华, 曹旭, 孟力强, 陈静宇, 姜威, 刘宇帅, 张淑梅, 李晶. 产几丁质酶菌株S68-CM5产酶条件优化研究[J]. 生物技术通报, 2016, 32(11): 235-240. |
| [5] | 谭剑, 熊欣, 梁万利, 彭华松, 张雪洪. ARTP技术选育吩嗪-1-甲酰胺高产菌株及发酵优化[J]. 生物技术通报, 2016, 32(1): 174-179. |
| [6] | 余响华,戴永强,邵金华. 乙醇提取红豆杉树叶紫杉醇醇提条件的研究[J]. 生物技术通报, 2013, 29(10): 98-102. |
| [7] | 杨光;李祎;项光亚;. 重组人睫状神经营养因子肽图分析[J]. , 2010, 0(11): 162-165. |
| [8] | 张国民;谭周进;刘勇;张松柏;. 光合细菌混合培养条件的优化[J]. , 2010, 0(06): 240-242. |
| [9] | 叶婧;刘雪;张丽;于江;朱昌雄;. 蔗渣发酵菌剂培养基的筛选及发酵条件的优化[J]. , 2009, 0(11): 168-173. |
| [10] | 杜少平;梁淑娃;杨冠东;蓝碧锋;彭中健;. 响应面法优化两歧双歧杆菌发酵培养基[J]. , 2008, 0(S1): 431-434. |
| [11] | 曹际娟;闫平平;徐君怡;郑秋月;马惠蕊;谢明杰;. 单核细胞增生李斯特氏菌PCR-DHPLC检测新技术的建立[J]. , 2008, 0(S1): 415-419. |
| [12] | 曹际娟;徐君怡;孙哲平;于珂;郑秋月;郑慧芳;王秋艳;. 乳粉中普通变形杆菌和奇异变形杆菌复合PCR-DHPLC检测技术的建立[J]. , 2008, 0(S1): 420-424. |
| [13] | 魏敬双;程立均;刘进怀;贾茜;. 重组单抗药物的肽图分析[J]. , 2008, 0(S1): 172-175. |
| [14] | 赵峰;赵德刚;傅永福;. 拟南芥TOC1蛋白特异片段原核表达培养基的优化[J]. , 2008, 0(02): 116-122. |
| [15] | 石玉杰;姚洪军;. 生物膜脂及脂肪酸的分析方法评述[J]. , 2007, 0(05): 89-92. |
| 阅读次数 | ||||||
|
全文 |
|
|||||
|
摘要 |
|
|||||