Biotechnology Bulletin ›› 2026, Vol. 42 ›› Issue (3): 374-382.doi: 10.13560/j.cnki.biotech.bull.1985.2025-0850

Previous Articles     Next Articles

Effects of Exogenous Sugar on the Fruit Quality, Amylase Activity and Gene Expression of Castanea henryi

FU Wan-xiang1,2(), WANG Tao1,2, TAN Shu1,2, YU Si-yuan1,2, XIONG Huan1, ZOU Feng1,2()   

  1. 1.Key Laboratory of Cultivation and Protection for Non-Wood Forest Trees of Ministry of Education, Central South University of Forestry & Technology, Changsha 410004
    2.Key Laboratory of Non-Wood Forest Product of National Forestry and Grassland Administration, Central South University of Forestry & Technology, Changsha 410004
  • Received:2025-08-05 Online:2026-03-26 Published:2026-04-23
  • Contact: ZOU Feng E-mail:278797560@qq.com;zoufeng06@126.com

Abstract:

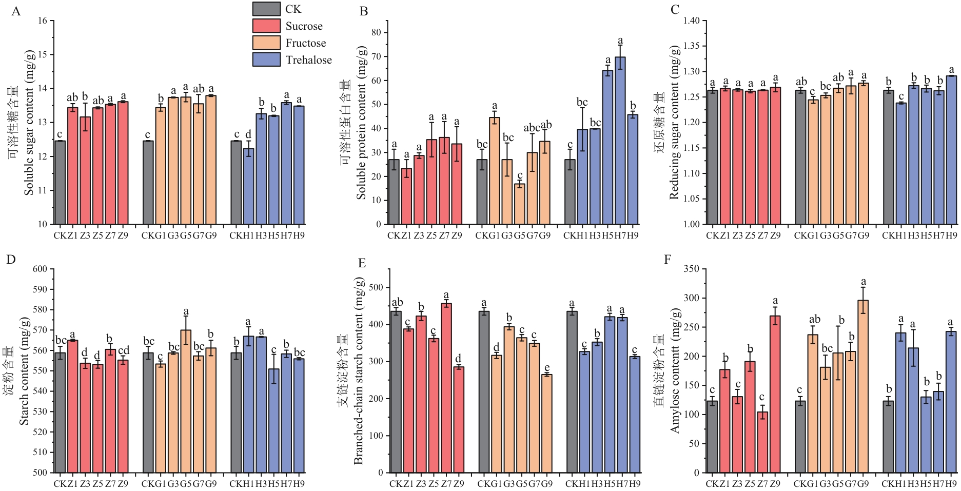
Objective This work aims to explore the effects of exogenous sugar on the quality and starch synthesis of C. henryi nuts and provide a theoretical basis for regulating the quality of C. henryi fruits. Method C. henryi ‘Huali 1’ was chosen for the study. The sucrose, fructose, and trehalose at different concentrations were sprayed in field, fruit phenotype and quality of C. henryi were determined and observed. GBSS enzyme, SSS enzyme and AGPase activities were analyzed, and the expressions of twelve genes including GBSS1-6, SSS1-6 were examined by RT-qPCR. Result Compared to the control group,7 g/L sucrose, 7 g/L trehalose and 5 g/L fructose significantly increased the bur weight, nuts weight, nuts transverse meridian and soluble sugar content by 18.13%-19.43%, 28.27%-33.92%, 9.22%-18.13% , and 8.63%-10.33%, respectively. GBSS enzyme activity increased by 11.74%-12.07%, and SSS enzyme activity increased by 58%-350%. 114 d after flowering, the expressions of four genes (ChGBSS3, ChGBSS6, ChSSS3, ChSSS5) significantly increased under the 7 g/L sucrose treatment, the expressions of two genes (ChGBSS1, ChGBSS6) significantly increased under the 5 g/L fructose treatment, the expression of ChGBSS6 increased by 6.5-11.6 times under three sugar treatments. Correlation analysis revealed that the starch content was significantly negatively correlated with the expression of ChSSS4 and ChGBSS5 in 7 g/L sucrose and 7 g/L trehalose treatments, the starch content was positively correlated with the expressions of ChSSS1 and ChGBSS1 in the treatment of 5 g/L fructose. Conclusion At 30 d after flowering, spraying 7-9 g/L sucrose, 7-9 g/L trehalose and 5-7 g/L fructose significantly increase the nuts weight, soluble sugar and soluble protein content, and improve the quality of C. henryi fruit. The 5 g/L fructose treatment regulates the expressions of ChGBSS1 and ChGBSS6 genes and affect the synthesis of starch in C. henryi.

Key words: fruit quality, amylase activity, Castanea henryi, GBSS genes, SSS genes, starch synthesis