Biotechnology Bulletin ›› 2025, Vol. 41 ›› Issue (4): 166-175.doi: 10.13560/j.cnki.biotech.bull.1985.2024-0878
WANG Tian-tian, CHANG Xue-rui, HUANG Wan-yang, HUANG Jia-xin, MIAO Ru-yi, LIANG Yan-ping, WANG Jing(
)
Received:2024-09-09
Online:2025-04-26
Published:2025-04-25
Contact:
WANG Jing
E-mail:wangjing315@sxau.edu.cn
WANG Tian-tian, CHANG Xue-rui, HUANG Wan-yang, HUANG Jia-xin, MIAO Ru-yi, LIANG Yan-ping, WANG Jing. Identification and Analysis of GASA Gene Family in Pepper (Capsicum annuum L.)[J]. Biotechnology Bulletin, 2025, 41(4): 166-175.
| 基因 Gene | 正向引物 Forward primer (5′‒3′) | 反向引物 Reverse primer (5′‒3′) |
|---|---|---|
| CaGASA1 | CATTCCAAAAGGCATTTGCT | GCAAGGGCATGCTTCATAAT |
| CaGASA2 | TGCAGCTTTGCTTATTGCAT | GTACGCAGTGGCATCTGTTG |
| CaGASA3 | GCAGCAGCAACAACAAAGAA | TAGCAAGGGCAAGTTTGCTT |
| CaGASA4 | TGATGCCCAGTACCACATTG | GGTCCTCCTTCCTTGGTCTT |
| CaGASA5 | ACTTGAACAACGGGGATTTG | AAGGGCACTTGGTCTTGTTG |
| CaGASA6 | CCACTGCACCGACATACATT | TGGTGGAACACATTGACACC |
| CaGASA7 | TCTCTCCTTGCTCCTTCTCG | GCAAGGGCAAGTCTGAGTGT |
| CaGASA8 | TGAGCTTGTGGAAGCTGATG | CACCATGGGTAAGCATGTCA |
| β-Actin | CAACATCTTCACTCTCTGCTCT | ACTAGGAAAAACAGCACTTGGT |
Table 1 RT-qPCR primers for expression analysis of CaGASA family genes
| 基因 Gene | 正向引物 Forward primer (5′‒3′) | 反向引物 Reverse primer (5′‒3′) |
|---|---|---|
| CaGASA1 | CATTCCAAAAGGCATTTGCT | GCAAGGGCATGCTTCATAAT |
| CaGASA2 | TGCAGCTTTGCTTATTGCAT | GTACGCAGTGGCATCTGTTG |
| CaGASA3 | GCAGCAGCAACAACAAAGAA | TAGCAAGGGCAAGTTTGCTT |
| CaGASA4 | TGATGCCCAGTACCACATTG | GGTCCTCCTTCCTTGGTCTT |
| CaGASA5 | ACTTGAACAACGGGGATTTG | AAGGGCACTTGGTCTTGTTG |
| CaGASA6 | CCACTGCACCGACATACATT | TGGTGGAACACATTGACACC |
| CaGASA7 | TCTCTCCTTGCTCCTTCTCG | GCAAGGGCAAGTCTGAGTGT |
| CaGASA8 | TGAGCTTGTGGAAGCTGATG | CACCATGGGTAAGCATGTCA |
| β-Actin | CAACATCTTCACTCTCTGCTCT | ACTAGGAAAAACAGCACTTGGT |
基因号 Gene ID | 基因 Gene | 氨基酸数 Number of amino acids/aa | 分子量 Molecular weight/kD | 等电点 Theoretical pI | 不稳定指数 Instability index | 脂肪指数 Aliphatic index | 总平均亲水系数 Grand average of hydropathicity | 亚细胞定位 Subcellular localization | 跨膜结构域 Transmembrane domain |
|---|---|---|---|---|---|---|---|---|---|
| Capana02g002587 | CaGASA1 | 102 | 11.15 | 9.01 | 46.06 | 49.90 | -0.288 | 细胞外 | 0 |
| Capana02g002588 | CaGASA2 | 101 | 10.97 | 9.12 | 72.87 | 56.14 | -0.166 | 细胞外 | 1 |
| Capana02g003203 | CaGASA3 | 112 | 12.67 | 9.42 | 42.06 | 53.04 | -0.478 | 细胞外 | 0 |
| Capana03g000783 | CaGASA4 | 104 | 11.46 | 9.35 | 45.52 | 62.88 | -0.026 | 细胞外 | 1 |
| Capana03g001010 | CaGASA5 | 145 | 15.74 | 9.27 | 39.20 | 81.38 | -0.043 | 细胞外 | 0 |
| Capana06g002956 | CaGASA6 | 113 | 12.55 | 9.46 | 48.91 | 73.27 | 0.103 | 细胞外 | 1 |
| Capana08g002677 | CaGASA7 | 104 | 11.18 | 9.24 | 37.42 | 71.44 | -0.138 | 细胞外 | 0 |
| Capana12g000591 | CaGASA8 | 113 | 12.27 | 7.97 | 36.80 | 79.38 | 0.040 | 细胞外 | 0 |
Table 2 Information of GASA gene family members in pepper
基因号 Gene ID | 基因 Gene | 氨基酸数 Number of amino acids/aa | 分子量 Molecular weight/kD | 等电点 Theoretical pI | 不稳定指数 Instability index | 脂肪指数 Aliphatic index | 总平均亲水系数 Grand average of hydropathicity | 亚细胞定位 Subcellular localization | 跨膜结构域 Transmembrane domain |
|---|---|---|---|---|---|---|---|---|---|
| Capana02g002587 | CaGASA1 | 102 | 11.15 | 9.01 | 46.06 | 49.90 | -0.288 | 细胞外 | 0 |
| Capana02g002588 | CaGASA2 | 101 | 10.97 | 9.12 | 72.87 | 56.14 | -0.166 | 细胞外 | 1 |
| Capana02g003203 | CaGASA3 | 112 | 12.67 | 9.42 | 42.06 | 53.04 | -0.478 | 细胞外 | 0 |
| Capana03g000783 | CaGASA4 | 104 | 11.46 | 9.35 | 45.52 | 62.88 | -0.026 | 细胞外 | 1 |
| Capana03g001010 | CaGASA5 | 145 | 15.74 | 9.27 | 39.20 | 81.38 | -0.043 | 细胞外 | 0 |
| Capana06g002956 | CaGASA6 | 113 | 12.55 | 9.46 | 48.91 | 73.27 | 0.103 | 细胞外 | 1 |
| Capana08g002677 | CaGASA7 | 104 | 11.18 | 9.24 | 37.42 | 71.44 | -0.138 | 细胞外 | 0 |
| Capana12g000591 | CaGASA8 | 113 | 12.27 | 7.97 | 36.80 | 79.38 | 0.040 | 细胞外 | 0 |
Fig. 3 Interaction network analysis of CaGASA proteinsT459_27842:Inhibitor I9 domain-containing protein. T459_18858: Putative purine permease 5. T459_18848: Putative purine permease 5. T459_03219: Fe2OG dioxygenase domain-containing protein. T459_17925, T459_24899, T459_28071, T459_18373, T459_16468, T459_05110: Uncharacterized protein. Purple line indicates experimental determination; the blue line indicates co-occurrence; the yellow line indicates text mining evidence; and the black line indicates co-expression
Fig. 8 Expression analysis of GASA in different tissues in pepperL1‒L9 refers to 2, 5, 10, 15, 20, 30, 40, 50, and 60 d after new leaf emergence; F1‒F9 refers to 10, 15, 20, 25, 30, 35, 40, 45, 50, 55, and 60 d after flower bud emergence; G1‒G11 refers to 10, 15, 20, 25 30, 35, 40, 45, 50, 55, and 60 d after pollination; St1 and St2 refers to 10, 15 d after pollination; S3‒S11 refer to 20, 25, 30, 35, 40, 45, 50, 55, and 60 d after pollination; T3‒T11 refers to 20, 25, 30, 35, 40, 45, 50, 55, and 60 d after pollination
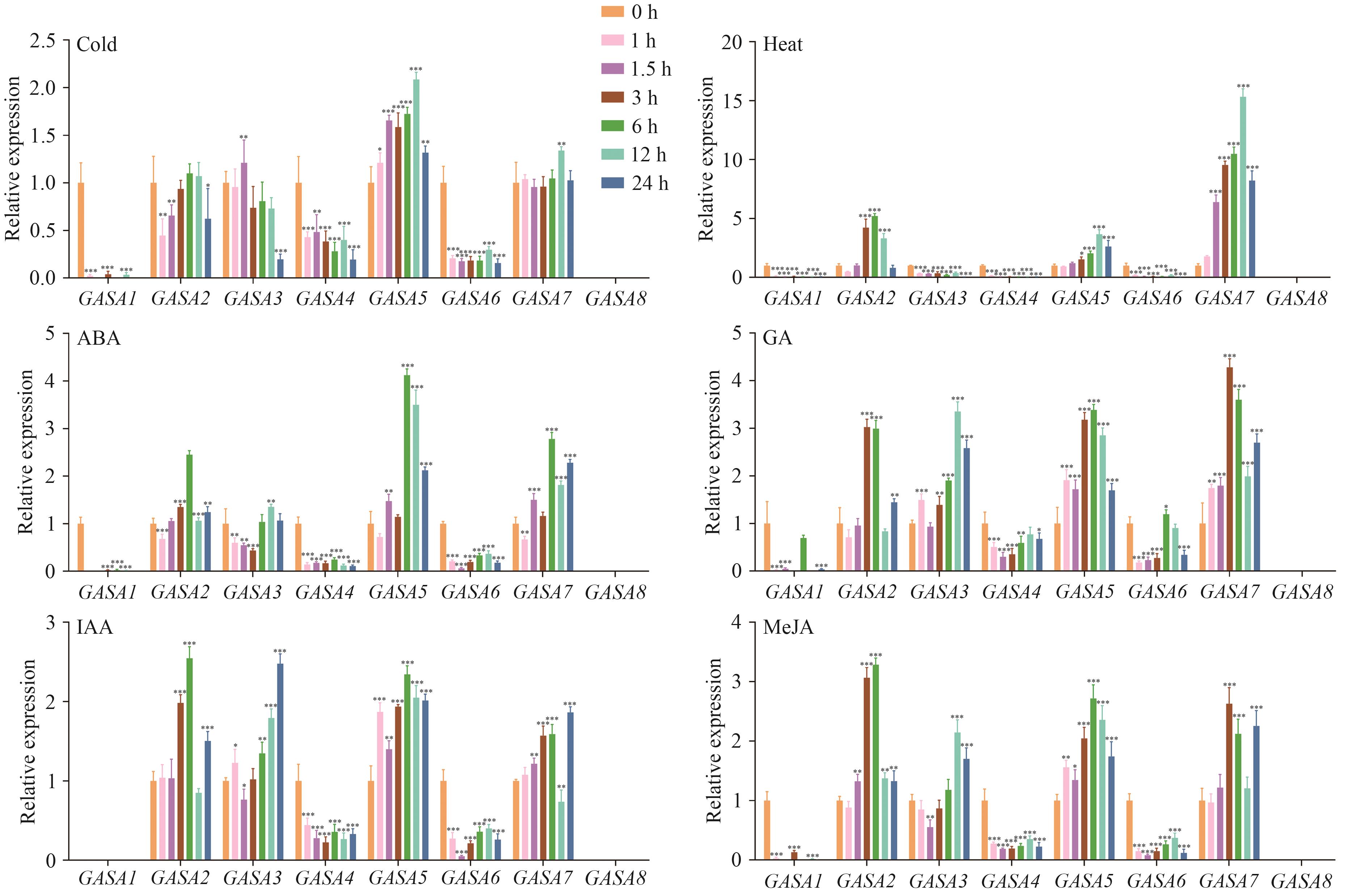
Fig. 9 Relative expressions of eight CaGASA genes under abiotic stress treatment*, **, and *** indicate significant differences at the level of 0.05, 0.01 and 0.001 respectively
| 1 | 邹学校, 朱凡. 辣椒的起源、进化与栽培历史 [J]. 园艺学报, 2022, 49(6): 1371-1381. |
| Zou XX, Zhu F. Origin, evolution and cultivation history of the pepper [J]. Acta Hortic Sin, 2022, 49(6): 1371-1381. | |
| 2 | 邓惠如, 张素勤, 耿广东. 辣椒逆境响应基因研究现状及前景 [J/OL]. 分子植物育种, 2023. . |
| Deng HR, Zhang SQ, Geng GD. Research status and prospect of stress response genes in pepper [J/OL]. China Ind Econ, 2023. . | |
| 3 | Bouteraa MT, Ben Romdhane W, Baazaoui N, et al. GASA proteins: review of their functions in plant environmental stress tolerance [J]. Plants, 2023, 12(10): 2045. |
| 4 | Taylor BH, Scheuring CF. A molecular marker for lateral root initiation: the RSI-1 gene of tomato (Lycopersicon esculentum Mill) is activated in early lateral root primordia [J]. Mol Gen Genet, 1994, 243(2): 148-157. |
| 5 | Herzog M, Dorne AM, Grellet F. GASA a gibberellin-regulated gene family from Arabidopsis thaliana related to the tomato GAST1 gene [J]. Plant Mol Biol, 1995, 27(4): 743-752. |
| 6 | Su D, Liu KD, Yu ZS, et al. Genome-wide characterization of the tomato GASA family identifies SlGASA1 as a repressor of fruit ripening [J]. Hortic Res, 2023, 10(1): uhac222. |
| 7 | Segura A, Moreno M, Madueño F, et al. Snakin-1, a peptide from potato that is active against plant pathogens [J]. Mol Plant Microbe Interact, 1999, 12(1): 16-23. |
| 8 | Wigoda N, Ben-Nissan G, Granot D, et al. The gibberellin-induced, cysteine-rich protein GIP2 from Petunia hybrida exhibits in planta antioxidant activity [J]. Plant J, 2006, 48(5): 796-805. |
| 9 | Wang L, Wang Z, Xu YY, et al. OsGSR1 is involved in crosstalk between gibberellins and brassinosteroids in rice [J]. Plant J, 2009, 57(3): 498-510. |
| 10 | Cheng XR, Wang SX, Xu DM, et al. Identification and analysis of the GASR gene family in common wheat (Triticum aestivum L.) and characterization of TaGASR34, a gene associated with seed dormancy and germination [J]. Front Genet, 2019, 10: 980. |
| 11 | Peng JZ, Lai LJ, Wang XJ. PRGL: a cell wall proline-rich protein containning GASA domain in Gerbera hybrida [J]. Sci China C Life Sci, 2008, 51(6): 520-525. |
| 12 | Liu ZH, Zhu L, Shi HY, et al. Cotton GASL genes encoding putative gibberellin-regulated proteins are involved in response to GA signaling in fiber development [J]. Mol Biol Rep, 2013, 40(7): 4561-4570. |
| 13 | Zhong CM, Xu H, Ye ST, et al. Gibberellic acid-stimulated Arabidopsis6 serves as an integrator of gibberellin, abscisic acid, and glucose signaling during seed germination in Arabidopsis [J]. Plant Physiol, 2015, 169(3): 2288-2303. |
| 14 | Zimmermann R, Sakai H, Hochholdinger F. The Gibberellic Acid Stimulated-Like gene family in maize and its role in lateral root development [J]. Plant Physiol, 2010, 152(1): 356-365. |
| 15 | Zhang SC, Yang CW, Peng JZ, et al. GASA5, a regulator of flowering time and stem growth in Arabidopsis thaliana [J]. Plant Mol Biol, 2009, 69(6): 745-759. |
| 16 | Li Y, Yuan WM, Peng JL, et al. GhGASA14 regulates the flowering time of upland cotton in response to GA3 [J]. Plant Cell Rep, 2024, 43(7): 170. |
| 17 | He ZY, Jiang R, Wang XJ, et al. A GASA protein family gene, CmGEG, inhibits petal growth in Chrysanthemum [J]. Int J Mol Sci, 2024, 25(6): 3367. |
| 18 | Syed Nabi RB, Lee MH, Cho KS, et al. Genome-wide identification and comprehensive analysis of the GASA gene family in peanuts (Arachis hypogaea L.) under abiotic stress [J]. Int J Mol Sci, 2023, 24(23): 17117. |
| 19 | Iqbal A, Khan RS. Snakins: antimicrobial potential and prospects of genetic engineering for enhanced disease resistance in plants [J]. Mol Biol Rep, 2023, 50(10): 8683-8690. |
| 20 | Panji A, Ismaili A, Sohrabi SM. Genome-wide identification and expression profiling of snakin/GASA genes under drought stress in barley (Hordeum vulgare L.) [J]. 3 Biotech, 2023, 13(5): 126. |
| 21 | Lee SH, Yoon JS, Jung WJ, et al. Genome-wide identification and characterization of the lettuce GASA family in response to abiotic stresses [J]. BMC Plant Biol, 2023, 23(1): 106. |
| 22 | Chen BJ, Sun YR, Tian ZL, et al. GhGASA10-1 promotes the cell elongation in fiber development through the phytohormones IAA-induced [J]. BMC Plant Biol, 2021, 21(1): 448. |
| 23 | Rubinovich L, Ruthstein S, Weiss D. The Arabidopsis cysteine-rich GASA5 is a redox-active metalloprotein that suppresses gibberellin responses [J]. Mol Plant, 2014, 7(1): 244-247. |
| 24 | Qu J, Kang SG, Hah C, et al. Molecular and cellular characterization of GA-stimulated transcripts GASA4 and GASA6 in Arabidopsis thaliana [J]. Plant Sci, 2016, 246: 1-10. |
| 25 | 马艳青, 戴雄泽, 李雪峰, 等. 辣椒骨干亲本6421及其衍生系的创制与利用 [J]. 中国蔬菜, 2015(6): 11-16. |
| Ma YQ, Dai XZ, Li XF, et al. Creation and utilization of pepper backbone parent 6421 and its derivated lines [J]. China Veg, 2015(6): 11-16. | |
| 26 | Li ZW, Gao JP, Wang GH, et al. Genome-wide identification and characterization of GASA gene family in Nicotiana tabacum [J]. Front Genet, 2022, 12: 768942. |
| 27 | Fan S, Zhang D, Zhang LZ, et al. Comprehensive analysis of GASA family members in the Malus domestica genome: identification, characterization, and their expressions in response to apple flower induction [J]. BMC Genomics, 2017, 18(1): 827. |
| 28 | Yang MZ, Liu CY, Zhang W, et al. Genome-wide identification and characterization of gibberellic acid-stimulated Arabidopsis gene family in pineapple (Ananas comosus) [J]. Int J Mol Sci, 2023, 24(23): 17063. |
| 29 | Rezaee S, Ahmadizadeh M, Heidari P. Genome-wide characterization, expression profiling, and post-transcriptional study of GASA gene family [J]. Gene Rep, 2020, 20: 100795. |
| 30 | Guo RR, Xu XZ, Carole B, et al. Genome-wide identification, evolutionary and expression analysis of the aspartic protease gene superfamily in grape [J]. BMC Genomics, 2013, 14: 554. |
| 31 | Chow CN, Lee TY, Hung YC, et al. PlantPAN3.0: a new and updated resource for reconstructing transcriptional regulatory networks from ChIP-seq experiments in plants [J]. Nucleic Acids Res, 2019, 47(D1): D1155-D1163. |
| 32 | Ahmad B, Yao J, Zhang SL, et al. Genome-wide characterization and expression profiling of GASA genes during different stages of seed development in grapevine (Vitis vinifera L.) predict their involvement in seed development [J]. Int J Mol Sci, 2020, 21(3): 1088. |
| 33 | Ko CB, Woo YM, Lee DJ, et al. Enhanced tolerance to heat stress in transgenic plants expressing the GASA4 gene [J]. Plant Physiol Biochem, 2007, 45(9): 722-728. |
| 34 | Bouteraa MT, Ben Romdhane W, Ben Hsouna A, et al. Genome-wide characterization and expression profiling of GASA gene family in Triticum turgidum ssp. durum (desf.) husn. (Durum wheat) unveils its involvement in environmental stress responses [J]. Phytochemistry, 2023, 206: 113544. |
| 35 | Zhang LY, Geng XL, Zhang HY, et al. Isolation and characterization of heat-responsive gene TaGASR1 from wheat (Triticum aestivum L.) [J]. J Plant Biol, 2017, 60(1): 57-65. |
| 36 | Muhammad I, Li WQ, Jing XQ, et al. A systematic in silico prediction of gibberellic acid stimulated GASA family members: a novel small peptide contributes to floral architecture and transcriptomic changes induced by external stimuli in rice [J]. J Plant Physiol, 2019, 234/235: 117-132. |
| 37 | Li KL, Bai X, Li Y, et al. GsGASA1 mediated root growth inhibition in response to chronic cold stress is marked by the accumulation of DELLAs [J]. J Plant Physiol, 2011, 168(18): 2153-2160. |
| [1] | LIU Tao, WANG Zhi-qi, WU Wen-bo, SHI Wen-ting, WANG Chao-nan, DU Chong, YANG Zhong-min. Identification and Expression Analysis of the GRAM Gene Family in Potato [J]. Biotechnology Bulletin, 2025, 41(4): 145-155. |
| [2] | SUN Tian-guo, YI Lan, QIN Xu-yang, QIAO Meng-xue, GU Xin-ying, HAN Yi, SHA Wei, ZHANG Mei-juan, MA Tian-yi. Genome-wide Identification of the DABB Gene Family in Brassica rapa ssp. pekinensis and Expression Analysis under Saline and Alkali Stress [J]. Biotechnology Bulletin, 2025, 41(4): 156-165. |
| [3] | WANG Chen, LIU Guo-mei, CHEN Chang, ZHANG Jin-long, YAO Lin, SUN Xuan, DU Chun-fang. Genome-wide Identification and Expression Analysis of CCDs Family in Brassia rapa L. [J]. Biotechnology Bulletin, 2025, 41(3): 161-170. |
| [4] | MA Tian-yi, XU Jia-jia, LU Wen-jing, WU Yan, SHA Wei, ZHANG Mei-juan, PENG Yi-fang. Expression Analysis and Resistance Identification of BrcGASA3 in Chinese Cabbage ‘Jinxiaotong’ Cultivar under Saline-alkali Stress [J]. Biotechnology Bulletin, 2025, 41(2): 127-138. |
| [5] | XU Yuan-meng, MAO Jiao, WANG Meng-yao, WANG Shu, REN Jiang-ling, LIU Yu-han, LIU Si-chen, QIAO Zhi-jun, WANG Rui-yun, CAO Xiao-ning. Cloning and Expression Characteristics Analysis of Millet Genes PmDEP1 and PmEP3 [J]. Biotechnology Bulletin, 2025, 41(2): 150-162. |
| [6] | JIA Zi-jian, WANG Bao-qiang, CHEN Li-fei, WANG Yi-zhen, WEI Xiao-hong, ZHAO Ying. Expression Patterns of CHX Gene Family in Quinoa in Response to NO under Saline-alkali Stress [J]. Biotechnology Bulletin, 2025, 41(2): 163-174. |
| [7] | QIAN Zheng-yi, WU Shao-fang, CAO Shu-yi, SONG Ya-xin, PAN Xin-feng, LI Zhao-wei, FAN Kai. Identification of the NAC Transcription Factors in Nymphaea colorata and Their Expression Analysis [J]. Biotechnology Bulletin, 2025, 41(2): 234-247. |
| [8] | XIANG Chun-fan, LI Le-song, WANG Juan, LIANG Yan-li, YANG Sheng-chao, LI Meng-fei, ZHAO Yan. Functional Identification and Expression Analysis of Cinnamonyl Alcohol Dehydrogenase AsCAD in Angelica sinensis [J]. Biotechnology Bulletin, 2025, 41(2): 295-308. |
| [9] | GE Shi-jie, LIU Yi-de, ZHANG Hua-dong, NING Qiang, ZHU Zhan-wang, WANG Shu-ping, LIU Yi-ke. Identification and Expression Analysis of Protein Disulfide Isomerase Gene Family in Wheat [J]. Biotechnology Bulletin, 2025, 41(2): 85-96. |
| [10] | LI Yu-xin, LI Miao, DU Xiao-fen, HAN Kang-ni, LIAN Shi-chao, WANG Jun. Identification and Expression Analysis of SiSAP Gene Family in Foxtail Millet(Setaria italica) [J]. Biotechnology Bulletin, 2025, 41(1): 143-156. |
| [11] | KONG Qing-yang, ZHANG Xiao-long, LI Na, ZHANG Chen-jie, ZHANG Xue-yun, YU Chao, ZHANG Qi-xiang, LUO Le. Identification and Expression Analysis of GRAS Transcription Factor Family in Rosa persica [J]. Biotechnology Bulletin, 2025, 41(1): 210-220. |
| [12] | LIU Qian, MA Lian-jie, ZHANG Hui, WANG Dong, FAN Mao, LIAO Dun-xiu, ZHAO Zheng-wu, LU Wen-cai. Screening, Identification and Control Effects of Biocontrol Strain TN2 against Pepper Anthracnose [J]. Biotechnology Bulletin, 2025, 41(1): 287-297. |
| [13] | SHEN Peng, GAO Ya-Bin, DING Hong. Identification and Expression Analysis of SAT Gene Family in Potato(Solanum tuberosum L.) [J]. Biotechnology Bulletin, 2024, 40(9): 64-73. |
| [14] | SONG Bing-fang, LIU Ning, CHENG Xin-yan, XU Xiao-bin, TIAN Wen-mao, GAO Yue, BI Yang, WANG Yi. Identification of Potato G6PDH Gene Family and Its Expression Analysis in Damaged Tubers [J]. Biotechnology Bulletin, 2024, 40(9): 104-112. |
| [15] | WU Hui-qin, WANG Yan-hong, LIU Han, SI Zheng, LIU Xue-qing, WANG Jing, YANG Yi, CHENG Yan. Identification and Expression Analysis of UGT Gene Family in Pepper [J]. Biotechnology Bulletin, 2024, 40(9): 198-211. |
| Viewed | ||||||
|
Full text |
|
|||||
|
Abstract |
|
|||||