生物技术通报 ›› 2026, Vol. 42 ›› Issue (2): 278-292.doi: 10.13560/j.cnki.biotech.bull.1985.2025-0585

• 研究报告 • 上一篇    下一篇

三七RALF基因家族鉴定及表达分析

杨子涵1,2,3(), 李葵秀1,2,3, 李俊良1,2,3, 吕文慧1,2,3, 何温婷4, 刘旭燕5, 刘冠泽1,2()   

  1. 1.云南农业大学西南中药材种质创新与利用国家地方联合工程研究中心,昆明 650201
    2.云南农业大学云南省药用植物生物学重点实验室,昆明 650201
    3.云南农业大学农学与生物技术学院,昆明 650201
    4.云南农业大学烟草学院,昆明 650201
    5.云南农业大学植物保护学院,昆明 650201
  • 收稿日期:2025-06-06 出版日期:2026-02-26 发布日期:2026-03-17
  • 通讯作者: 刘冠泽,男,教授,研究方向 :药用植物生物技术与育种;E-mail: guanzeliu@ynau.edu.cn
  • 作者简介:杨子涵,女,硕士研究生,研究方向 :三七种质资源评价与遗传改良;E-mail: 1439104670@qq.com
  • 基金资助:
    国家自然科学基金项目(32260095);云南省重大科技专项(202205AR070001);云南省兴滇英才计划资助(XDYC-QNRC-2022-0210)

Identification and Expression Analysis of the RALF Gene Family in Panax notoginseng

YANG Zi-han1,2,3(), LI Kui-xiu1,2,3, LI Jun-liang1,2,3, LYU Wen-hui1,2,3, HE Wen-ting4, LIU Xu-yan5, LIU Guan-ze1,2()   

  1. 1.National & Local Joint Engineering Research Center of Germplasm Innovation and Utilization of Southwest Chinese Medicinal Materials, Yunnan Agricultural University, Kunming 650201
    2.Yunnan Key Laboratory for Medicinal Plant Biology, Yunnan Agricultural University, Kunming 650201
    3.College of Agronomy and Biotechnology, Yunnan Agricultural University, Kunming 650201
    4.College of Tobacco, Yunnan Agricultural University, Kunming 650201
    5.College of Plant Protection, Yunnan Agricultural University, Kunming 650201
  • Received:2025-06-06 Published:2026-02-26 Online:2026-03-17

摘要:

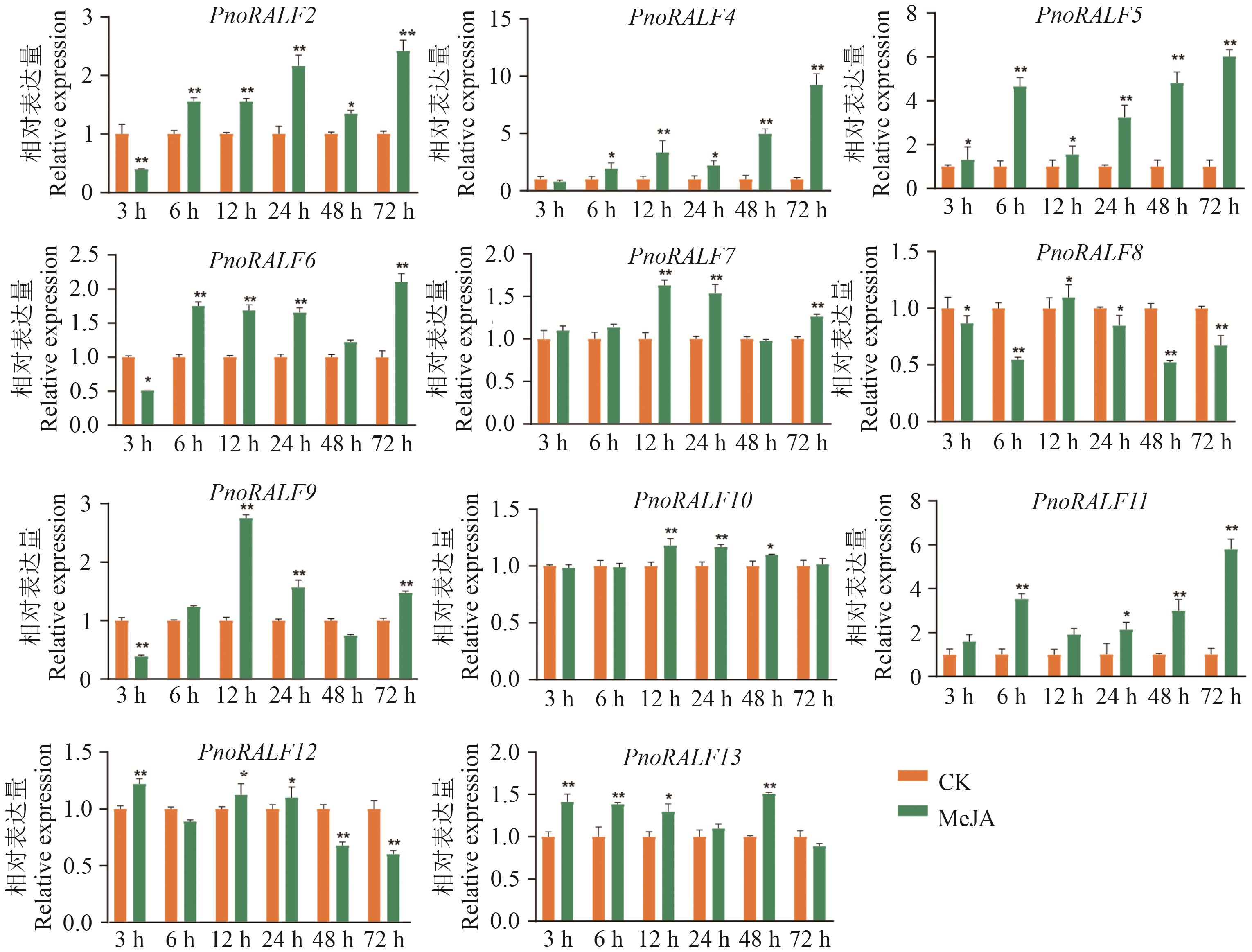
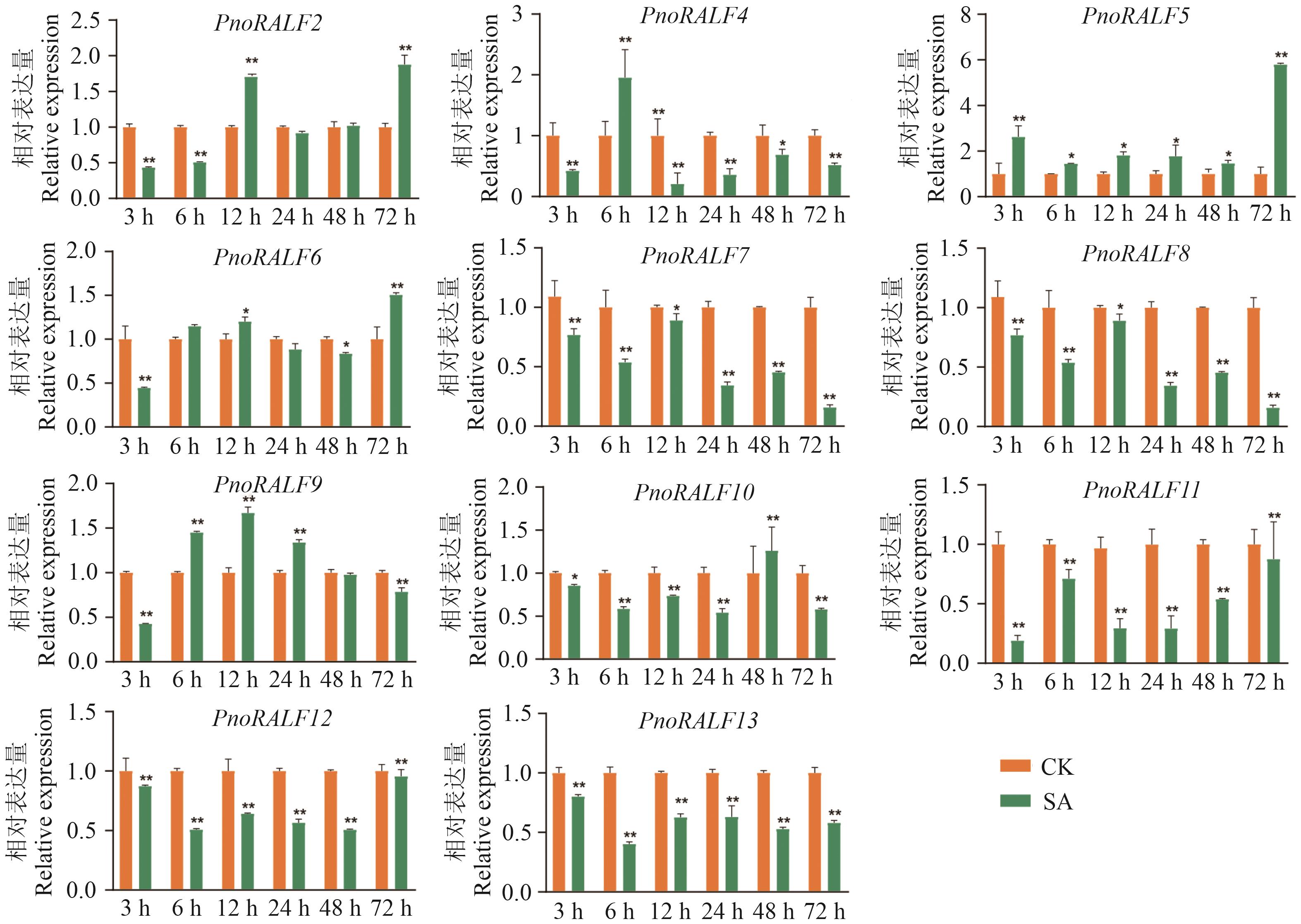
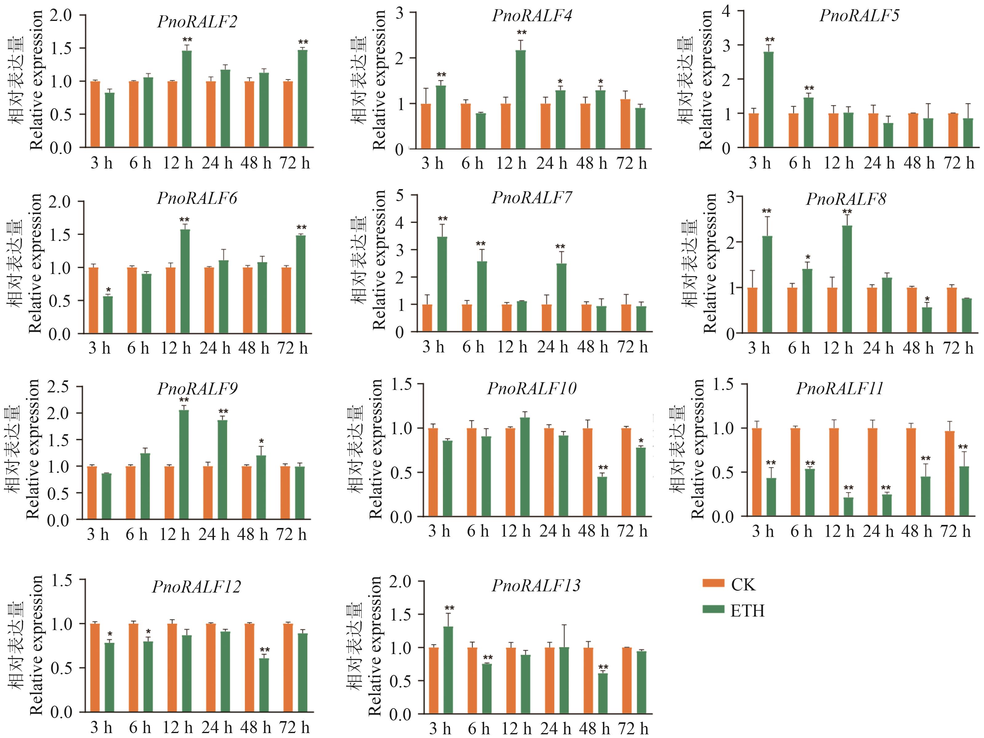
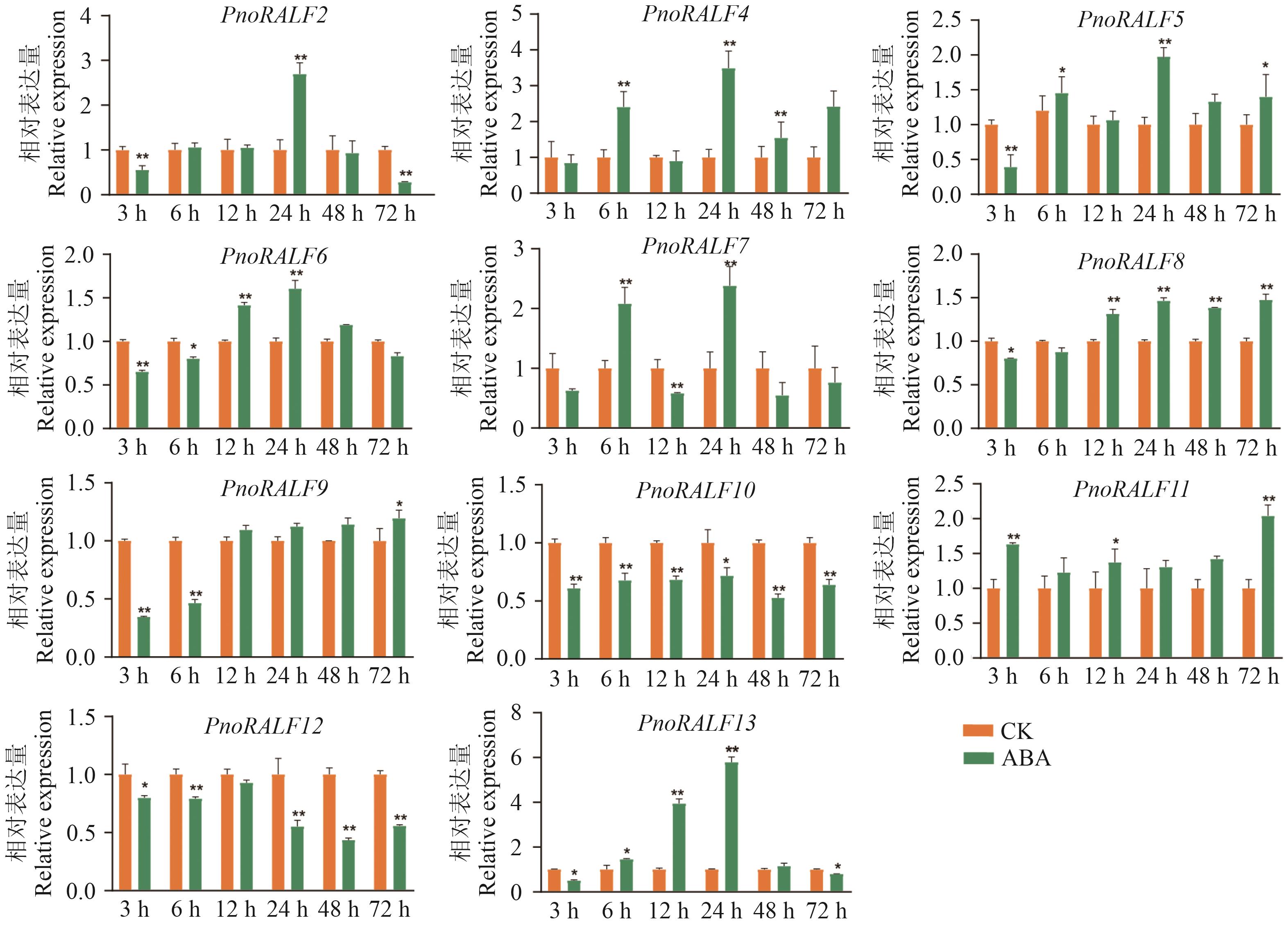
目的 快速碱化因子(rapid alkalinization factors, RALFs)是一类植物多肽类激素,参与植物免疫应答反应,在三七全基因组水平对RALF基因家族进行鉴定并探究PnoRALFs基因家族在三七免疫反应中的作用。 方法 利用生物信息学分析方法对PnoRALFs基因家族进行鉴定,对该基因家族染色体分布、蛋白理化性质、系统发育树、保守基序、基因结构、启动子顺式元件和组织特异性进行表达分析;采用4种外源激素水杨酸(SA)、茉莉酸甲酯(MeJA)、脱落酸(ABA)、乙烯(ETH)处理及毁灭柱孢菌(Cylindrocarpon destructans)侵染,分析基因表达模式,并利用烟草瞬时表达验证关键基因的功能。 结果 三七全基因组中共鉴定到13个PnoRALFs基因,分布于8条染色体,分为Ⅰ亚类和Ⅱ亚类;基因结构和保守基序分析发现,PnoRALFs基因含有保守的RRXL基序和YISY保守基序;顺式元件预测发现PnoRALFs基因启动子区段含有多种激素如ABA、MeJA、SA和赤霉素(GA)等响应元件。组织特异性表达分析发现,13个PnoRALFs基因在不同组织中的表达水平存在显著差异;此外,4种外源激素处理下,PnoRALF2、PnoRALF5、PnoRALF6、PnoRALF9表达量呈现上调趋势;毁灭柱孢侵染后转录组数据及RT-qPCR分析发现,9个PnoRALFs响应毁灭柱孢侵染,其中PnoRALF9表达量显著上调;烟草瞬时表达PnoRALF9后,烟草中PTI途径NbFPK1NbWRKY29和ROS途径NbMPK6NbGAPDH表达量上调。 结论 三七全基因组共鉴定到13个PnoRALFs基因,PnoRALF9响应4种外源激素处理及毁灭柱孢侵染,瞬时过表达后诱导植物免疫相关基因表达,推测PnoRALF9在三七抗病免疫反应中发挥重要作用。

关键词: 三七, RALF基因家族, 激素处理, 毁灭柱孢, 表达分析

Abstract:

Objective Rapid alkalinization factors (RALFs) are plant peptide hormones that participate in immune responses. This study is aimed to identify the RALF gene family members in Panax notoginseng and to investigate the roles of PnoRALFs in P. notoginseng immune responses. Method The RALF gene family in P. notoginseng was identified using bioinformatics tools. Chromosomal localization, protein physicochemical properties, phylogenetic relationships, conserved motifs, gene structures, promoter cis-acting elements, and tissue-specific expression patterns were analyzed. Expression profiles were assessed under four hormone treatments-salicylic acid (SA), methyl jasmonate (MeJA), abscisic acid (ABA), and ethylene (ETH) and after infection with C. destructans. The function of a key gene was further validated through transient expression in Nicotiana benthamiana. Result Thirteen PnoRALFs genes were identified and mapped to eight chromosomes. These genes were classified into two subgroups. Conserved motif analysis showed the presence of RRXL and YISY motifs. Promoter regions contained multiple hormone-responsive cis-elements, including those responsive to ABA, MeJA, SA, and gibberellins (GA). Tissue-specific expression analysis revealed considerable variation in gene expressions among different tissues. The expressions of PnoRALF2, PnoRALF5, PnoRALF6, and PnoRALF9 were upregulated by hormone treatments. Transcriptome and RT-qPCR analyses indicated that nine PnoRALFs genes responded to C. destructans infection, with PnoRALF9 showing a marked increase in expression. Transient overexpression of PnoRALF9 in N. benthamiana increased the expressions of immunity-related genes such as NbFPK1 and NbWRKY29 in the pattern-triggered immunity (PTI) pathway and NbMPK6 and NbGAPDH in the reactive oxygen species (ROS) signaling pathway. Conclusion Thirteen PnoRALFs genes are identified in the P. notoginseng genome. Among them, PnoRALF9 responds to multiple hormone treatments and C. destructans infection. Transient overexpression of PnoRALF9 induces plant immunity-related gene expression, suggesting that PnoRALF9 plays a critical role in the immune response in P. notoginseng to disease.

Key words: Panax notoginseng, RALF gene family, hormone treatment, Cylindrocarpon destructans, expression analysis