Biotechnology Bulletin ›› 2025, Vol. 41 ›› Issue (2): 97-106.doi: 10.13560/j.cnki.biotech.bull.1985.2024-0358
Previous Articles Next Articles
SONG Ying-pei(
), WANG Can, ZHOU Hui-wen, KONG Ke-ke, XU Meng-ge, WANG Rui-kai(
)
Received:2024-04-14
Online:2025-02-26
Published:2025-02-28
Contact:
WANG Rui-kai
E-mail:jiatai_105@163.com;rikswang@sina.com
SONG Ying-pei, WANG Can, ZHOU Hui-wen, KONG Ke-ke, XU Meng-ge, WANG Rui-kai. Analysis of Soybean Pod Dehiscence Habit Based on Whole Genome Association Analysis and Genetic Diversity[J]. Biotechnology Bulletin, 2025, 41(2): 97-106.
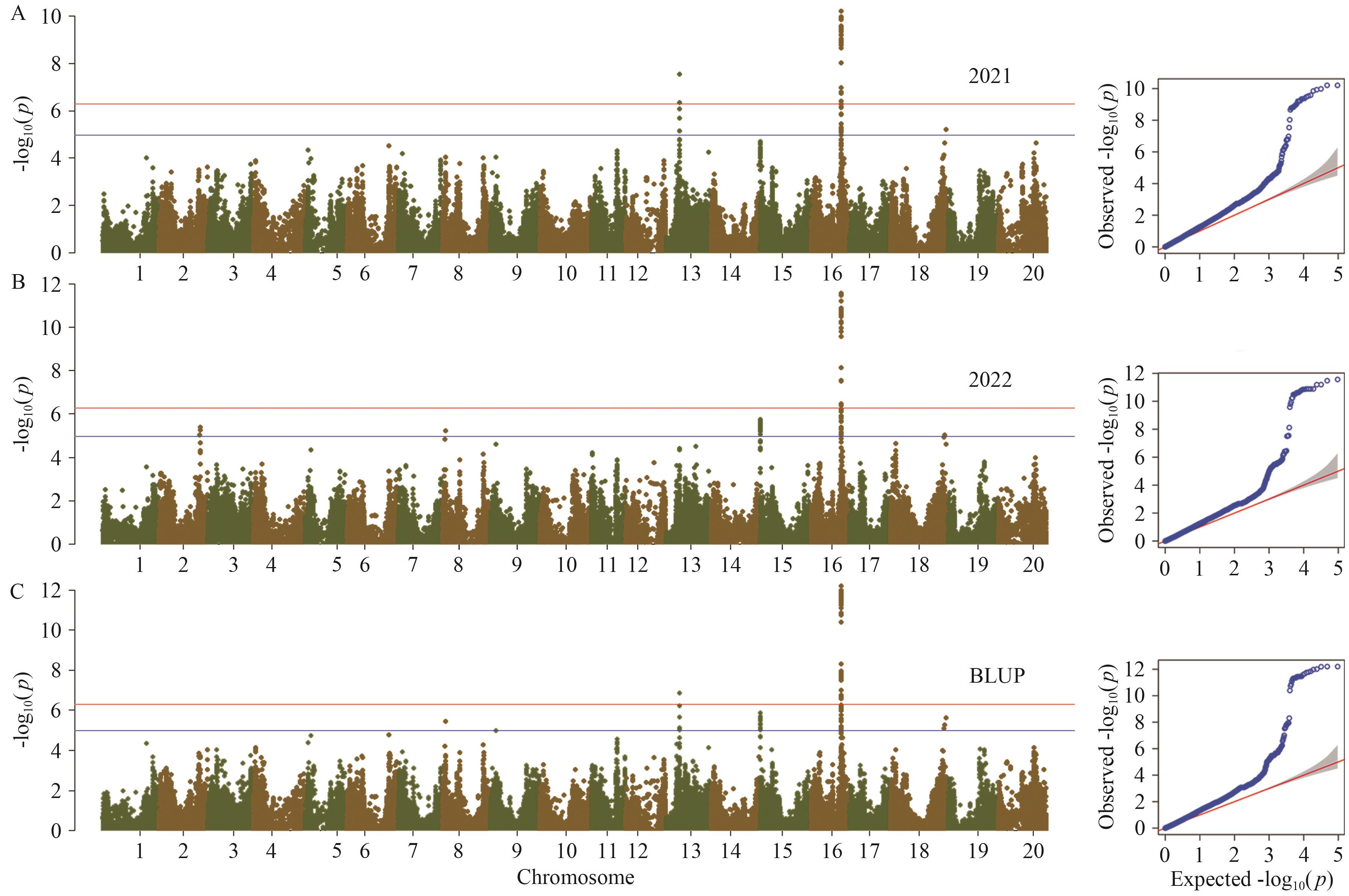
QTL名称 QTL name | SNP名称 SNP name | 染色体 Chromosome | 位置 Position/bp | 最小等位基因频率 MAF | P值 P value | 表型解释率 R2/% |
|---|---|---|---|---|---|---|
| qPdh-Chr08 | Gm08_3048312 | 8 | 3 048 312 | 0.24 | 3.50E-06 | 13.2 |
| qPdh-Chr15 | Gm15_312814 | 15 | 312 814 | 0.18 | 1.32E-06 | 10.7 |
| qPdh-Chr16(qPdh1) | Gm16_29951529 | 16 | 29 951 529 | 0.36 | 3.20E-17 | 36.6 |
| qPdh-Chr13 | Gm13_13702059 | 13 | 13 702 059 | 0.37 | 1.32E-07 | 0.5 |
| qPdh-Chr18 | Gm18_55699653 | 18 | 55 699 653 | 0.43 | 2.42E-06 | 1.8 |
Table 1 Main associated SNP loci in the GWAS of soybean pod dehiscence habit
QTL名称 QTL name | SNP名称 SNP name | 染色体 Chromosome | 位置 Position/bp | 最小等位基因频率 MAF | P值 P value | 表型解释率 R2/% |
|---|---|---|---|---|---|---|
| qPdh-Chr08 | Gm08_3048312 | 8 | 3 048 312 | 0.24 | 3.50E-06 | 13.2 |
| qPdh-Chr15 | Gm15_312814 | 15 | 312 814 | 0.18 | 1.32E-06 | 10.7 |
| qPdh-Chr16(qPdh1) | Gm16_29951529 | 16 | 29 951 529 | 0.36 | 3.20E-17 | 36.6 |
| qPdh-Chr13 | Gm13_13702059 | 13 | 13 702 059 | 0.37 | 1.32E-07 | 0.5 |
| qPdh-Chr18 | Gm18_55699653 | 18 | 55 699 653 | 0.43 | 2.42E-06 | 1.8 |
QTL名称 QTL name | 基因 Gene | 基因注释 Gene annotation | 基因位置 Gene location |
|---|---|---|---|
| qPdh-Chr08 | Glyma.08G037400 | Tesmin/TSO1样CXC结构域,富含半胱氨酸的结构域 Tesmin/TSO1-like CXC domain, and cysteine-rich domain | Chr.8:29 50 964-2 957 163 |
| qPdh-Chr08 | Glyma.08G037500 | - | Chr.8:2 959 084-2 961 115 |
| qPdh-Chr08 | Glyma.08G037600 | - | Chr.8:2 962 310-2 966 347 |
| qPdh-Chr08 | Glyma.08G037700 | - | Chr.8:2 967 634-2 971 428 |
| qPdh-Chr08 | Glyma.08G037800 | - | Chr.8:2 973 386-2 977 716 |
| qPdh-Chr08 | Glyma.08G037900 | 动力蛋白轻链1型 Dynein light chain type 1 | Chr.8:2 978 411-2 979 627 |
| qPdh-Chr08 | Glyma.08G038000 | 无注释 No annotation | Chr.8:2 987 443-2 988 562 |
| qPdh-Chr08 | Glyma.08G038100 | S26信号肽酶,S26肽酶 S26 signal peptidase, peptidase S26 | Chr.8:2 988 728-2 991 924 |
| qPdh-Chr08 | Glyma.08G038200 | PPR重复序列 PPR repeat | Chr.8:2 992 820-2 996 514 |
| qPdh-Chr08 | Glyma.08G038300 | - | Chr.8:2 997 737-2 999 328 |
| qPdh-Chr08 | Glyma.08G038400 | 转录抑制因子 Transcriptional repressor | Chr.8:3 012 183-3 013 602 |
| qPdh-Chr08 | Glyma.08G038500 | - | Chr.8:3 018 702-3 019 975 |
| qPdh-Chr08 | Glyma.08G038600 | 黄素结合单加氧酶 Flavin-binding monooxygenase-like | Chr.8:3 029 349-3 032 467 |
| qPdh-Chr08 | Glyma.08G038700 | MVB通路中Vps4活性的调节因子 Regulator of Vps4 activity in the MVB pathway | Chr.8:3 038 024-3 042 749 |
| qPdh-Chr08 | Glyma.08G038800 | - | Chr.8:3 043 080-3 044 565 |
| qPdh-Chr08 | Glyma.08G038900 | Ras基因家族 Ras family | Chr.8:3 046 616-3 047 930 |
| qPdh-Chr08 | Glyma.08G039000 | - | Chr.8:3 053 220-3 053 733 |
| qPdh-Chr08 | Glyma.08G039100 | Frigida样蛋白 Frigida-like protein | Chr.8:3 057 438-3 060 816 |
| qPdh-Chr08 | Glyma.08G039200 | 乙醛脱氢酶家族 Aldehyde dehydrogenase family | Chr.8:3 067 517-3 072 472 |
| qPdh-Chr08 | Glyma.08G039300 | 乙醛脱氢酶家族 Aldehyde dehydrogenase family | Chr.8:3 073 843-3 078 936 |
| qPdh-Chr08 | Glyma.08G039400 | 富含亮氨酸的重复N-末端结构域 Leucine rich repeat N-terminal domain | Chr.8:3 085 136-3 088 000 |
| qPdh-Chr08 | Glyma.08G039500 | 丝氨酸激酶(Serinc) Serine incorporator (Serinc) | Chr.8:3 101 025-3 107 162 |
| qPdh-Chr08 | Glyma.08G039600 | Arf的GTP酶激活蛋白 Putative GTPase activating protein for Arf | Chr.8:3 107 698-3 116 601 |
| qPdh-Chr08 | Glyma.08G039700 | 重金属伴生域 Heavy-metal-associated domain | Chr.8:3 129 407-3 131 827 |
| qPdh-Chr08 | Glyma.08G039800 | 纤维连接蛋白Ⅲ型结构域 Fibronectin type Ⅲ domain | Chr.8:3 139 067-3 148 954 |
| qPdh-Chr15 | Glyma.15G002100 | MULE转座酶结构域 MULE transposase domain | Chr.15:213 887-219 265 |
| qPdh-Chr15 | Glyma.15G002200 | 细胞色素P450 Cytochrome P450 | Chr.15:220 497-223 162 |
| qPdh-Chr15 | Glyma.15G002300 | 真核天冬氨酸蛋白酶 Eukaryotic aspartyl protease | Chr.15:224 303-226 574 |
| qPdh-Chr15 | Glyma.15G002400 | - | Chr.15:233 459-238 218 |
| qPdh-Chr15 | Glyma.15G002500 | - | Chr.15:240 793-241 445 |
| qPdh-Chr15 | Glyma.15G002600 | 转移酶家族 Transferase family | Chr.15:248 742-253 777 |
| qPdh-Chr15 | Glyma.15G002700 | CorA样Mg2+转运蛋白 CorA-like Mg2+ transporter protein | Chr.15:256 675-262 022 |
| qPdh-Chr15 | Glyma.15G002800 | PPR重复 PPR repeat | Chr.15:262 741-265 142 |
| qPdh-Chr15 | Glyma.15G002900 | 蛋白激酶结构域 Protein kinase domain | Chr.15:267 776-270 825 |
| qPdh-Chr15 | Glyma.15G003000 | - | Chr.15:274 385-276 541 |
| qPdh-Chr15 | Glyma.15G003100 | 3-氧乙酰基-[酰基载体蛋白(ACP)]合酶Ⅲ 4-3-Oxoacyl-[acyl-carrier-protein (ACP)] synthase Ⅲ | Chr.15:276 702-278 479 |
| qPdh-Chr15 | Glyma.15G003200 | - | Chr.15:280 413-286 646 |
| qPdh-Chr15 | Glyma.15G003300 | WRKY DNA结合结构域 WRKY DNA-binding domain | Chr.15:290 145-292 323 |
| qPdh-Chr15 | Glyma.15G003400 | NAF结构域 NAF domain | Chr.15:309 074-311 683 |
| qPdh-Chr15 | Glyma.15G003500 | 天然抗性相关巨噬细胞蛋白 Natural resistance-associated macrophage protein | Chr.15:324 025-331 370 |
| qPdh-Chr15 | Glyma.15G003600 | NAD依赖性差向异构酶/脱水酶家族 DAD dependent epimerase/dehydratase family | Chr.15:332 065-337 381 |
| qPdh-Chr15 | Glyma.15G003700 | 核糖体蛋白L7Ae/L30e/S12e/Gadd45家族 Ribosomal protein L7Ae/L30e/S12e/Gadd45 family | Chr.15:343 771-345 651 |
| qPdh-Chr15 | Glyma.15G003800 | 光系统I反应中心亚基Ⅷ Photosystem I reaction centre subunit Ⅷ | Chr.15:351 123-351 227 |
| qPdh-Chr15 | Glyma.15G003900 | 主要内在蛋白质 Major intrinsic protein | Chr.15:356 131-360 422 |
| qPdh-Chr15 | Glyma.15G004000 | - | Chr.15:359 275-361 686 |
| qPdh-Chr15 | Glyma.15G004100 | - | Chr.15:368 686-372 503 |
| qPdh-Chr15 | Glyma.15G004200 | AP2结构域 AP2 domain | Chr.15:385 421-386 513 |
| qPdh-Chr15 | Glyma.15G004300 | 卤代酸脱卤酶样水解酶;阳离子转运蛋白/ATP酶;N端 Haloacid dehalogenase-like hydrolase; cation transporter/ATPase; N-terminus | Chr.15:390 297-394 072 |
| qPdh-Chr15 | Glyma.15G004400 | - | Chr.15:398 466-399 046 |
| qPdh-Chr15 | Glyma.15G004500 | 双链RNA结合基序 Double-stranded RNA binding motif | Chr.15:401 329-403 329 |
| qPdh-Chr15 | Glyma.15G004600 | - | Chr.15:403 355-404 122 |
| qPdh-Chr15 | Glyma.15G004700 | 蛋白酪氨酸激酶 Protein tyrosine kinase | Chr.15:405 502-410 429 |
| qPdh-Chr16(qPdh1) | Glyma.16G141400 | - | Chr.16:29 943 929-29 944 387 |
Table 2 Candidate genes information of pod dehiscence habit in soybean
QTL名称 QTL name | 基因 Gene | 基因注释 Gene annotation | 基因位置 Gene location |
|---|---|---|---|
| qPdh-Chr08 | Glyma.08G037400 | Tesmin/TSO1样CXC结构域,富含半胱氨酸的结构域 Tesmin/TSO1-like CXC domain, and cysteine-rich domain | Chr.8:29 50 964-2 957 163 |
| qPdh-Chr08 | Glyma.08G037500 | - | Chr.8:2 959 084-2 961 115 |
| qPdh-Chr08 | Glyma.08G037600 | - | Chr.8:2 962 310-2 966 347 |
| qPdh-Chr08 | Glyma.08G037700 | - | Chr.8:2 967 634-2 971 428 |
| qPdh-Chr08 | Glyma.08G037800 | - | Chr.8:2 973 386-2 977 716 |
| qPdh-Chr08 | Glyma.08G037900 | 动力蛋白轻链1型 Dynein light chain type 1 | Chr.8:2 978 411-2 979 627 |
| qPdh-Chr08 | Glyma.08G038000 | 无注释 No annotation | Chr.8:2 987 443-2 988 562 |
| qPdh-Chr08 | Glyma.08G038100 | S26信号肽酶,S26肽酶 S26 signal peptidase, peptidase S26 | Chr.8:2 988 728-2 991 924 |
| qPdh-Chr08 | Glyma.08G038200 | PPR重复序列 PPR repeat | Chr.8:2 992 820-2 996 514 |
| qPdh-Chr08 | Glyma.08G038300 | - | Chr.8:2 997 737-2 999 328 |
| qPdh-Chr08 | Glyma.08G038400 | 转录抑制因子 Transcriptional repressor | Chr.8:3 012 183-3 013 602 |
| qPdh-Chr08 | Glyma.08G038500 | - | Chr.8:3 018 702-3 019 975 |
| qPdh-Chr08 | Glyma.08G038600 | 黄素结合单加氧酶 Flavin-binding monooxygenase-like | Chr.8:3 029 349-3 032 467 |
| qPdh-Chr08 | Glyma.08G038700 | MVB通路中Vps4活性的调节因子 Regulator of Vps4 activity in the MVB pathway | Chr.8:3 038 024-3 042 749 |
| qPdh-Chr08 | Glyma.08G038800 | - | Chr.8:3 043 080-3 044 565 |
| qPdh-Chr08 | Glyma.08G038900 | Ras基因家族 Ras family | Chr.8:3 046 616-3 047 930 |
| qPdh-Chr08 | Glyma.08G039000 | - | Chr.8:3 053 220-3 053 733 |
| qPdh-Chr08 | Glyma.08G039100 | Frigida样蛋白 Frigida-like protein | Chr.8:3 057 438-3 060 816 |
| qPdh-Chr08 | Glyma.08G039200 | 乙醛脱氢酶家族 Aldehyde dehydrogenase family | Chr.8:3 067 517-3 072 472 |
| qPdh-Chr08 | Glyma.08G039300 | 乙醛脱氢酶家族 Aldehyde dehydrogenase family | Chr.8:3 073 843-3 078 936 |
| qPdh-Chr08 | Glyma.08G039400 | 富含亮氨酸的重复N-末端结构域 Leucine rich repeat N-terminal domain | Chr.8:3 085 136-3 088 000 |
| qPdh-Chr08 | Glyma.08G039500 | 丝氨酸激酶(Serinc) Serine incorporator (Serinc) | Chr.8:3 101 025-3 107 162 |
| qPdh-Chr08 | Glyma.08G039600 | Arf的GTP酶激活蛋白 Putative GTPase activating protein for Arf | Chr.8:3 107 698-3 116 601 |
| qPdh-Chr08 | Glyma.08G039700 | 重金属伴生域 Heavy-metal-associated domain | Chr.8:3 129 407-3 131 827 |
| qPdh-Chr08 | Glyma.08G039800 | 纤维连接蛋白Ⅲ型结构域 Fibronectin type Ⅲ domain | Chr.8:3 139 067-3 148 954 |
| qPdh-Chr15 | Glyma.15G002100 | MULE转座酶结构域 MULE transposase domain | Chr.15:213 887-219 265 |
| qPdh-Chr15 | Glyma.15G002200 | 细胞色素P450 Cytochrome P450 | Chr.15:220 497-223 162 |
| qPdh-Chr15 | Glyma.15G002300 | 真核天冬氨酸蛋白酶 Eukaryotic aspartyl protease | Chr.15:224 303-226 574 |
| qPdh-Chr15 | Glyma.15G002400 | - | Chr.15:233 459-238 218 |
| qPdh-Chr15 | Glyma.15G002500 | - | Chr.15:240 793-241 445 |
| qPdh-Chr15 | Glyma.15G002600 | 转移酶家族 Transferase family | Chr.15:248 742-253 777 |
| qPdh-Chr15 | Glyma.15G002700 | CorA样Mg2+转运蛋白 CorA-like Mg2+ transporter protein | Chr.15:256 675-262 022 |
| qPdh-Chr15 | Glyma.15G002800 | PPR重复 PPR repeat | Chr.15:262 741-265 142 |
| qPdh-Chr15 | Glyma.15G002900 | 蛋白激酶结构域 Protein kinase domain | Chr.15:267 776-270 825 |
| qPdh-Chr15 | Glyma.15G003000 | - | Chr.15:274 385-276 541 |
| qPdh-Chr15 | Glyma.15G003100 | 3-氧乙酰基-[酰基载体蛋白(ACP)]合酶Ⅲ 4-3-Oxoacyl-[acyl-carrier-protein (ACP)] synthase Ⅲ | Chr.15:276 702-278 479 |
| qPdh-Chr15 | Glyma.15G003200 | - | Chr.15:280 413-286 646 |
| qPdh-Chr15 | Glyma.15G003300 | WRKY DNA结合结构域 WRKY DNA-binding domain | Chr.15:290 145-292 323 |
| qPdh-Chr15 | Glyma.15G003400 | NAF结构域 NAF domain | Chr.15:309 074-311 683 |
| qPdh-Chr15 | Glyma.15G003500 | 天然抗性相关巨噬细胞蛋白 Natural resistance-associated macrophage protein | Chr.15:324 025-331 370 |
| qPdh-Chr15 | Glyma.15G003600 | NAD依赖性差向异构酶/脱水酶家族 DAD dependent epimerase/dehydratase family | Chr.15:332 065-337 381 |
| qPdh-Chr15 | Glyma.15G003700 | 核糖体蛋白L7Ae/L30e/S12e/Gadd45家族 Ribosomal protein L7Ae/L30e/S12e/Gadd45 family | Chr.15:343 771-345 651 |
| qPdh-Chr15 | Glyma.15G003800 | 光系统I反应中心亚基Ⅷ Photosystem I reaction centre subunit Ⅷ | Chr.15:351 123-351 227 |
| qPdh-Chr15 | Glyma.15G003900 | 主要内在蛋白质 Major intrinsic protein | Chr.15:356 131-360 422 |
| qPdh-Chr15 | Glyma.15G004000 | - | Chr.15:359 275-361 686 |
| qPdh-Chr15 | Glyma.15G004100 | - | Chr.15:368 686-372 503 |
| qPdh-Chr15 | Glyma.15G004200 | AP2结构域 AP2 domain | Chr.15:385 421-386 513 |
| qPdh-Chr15 | Glyma.15G004300 | 卤代酸脱卤酶样水解酶;阳离子转运蛋白/ATP酶;N端 Haloacid dehalogenase-like hydrolase; cation transporter/ATPase; N-terminus | Chr.15:390 297-394 072 |
| qPdh-Chr15 | Glyma.15G004400 | - | Chr.15:398 466-399 046 |
| qPdh-Chr15 | Glyma.15G004500 | 双链RNA结合基序 Double-stranded RNA binding motif | Chr.15:401 329-403 329 |
| qPdh-Chr15 | Glyma.15G004600 | - | Chr.15:403 355-404 122 |
| qPdh-Chr15 | Glyma.15G004700 | 蛋白酪氨酸激酶 Protein tyrosine kinase | Chr.15:405 502-410 429 |
| qPdh-Chr16(qPdh1) | Glyma.16G141400 | - | Chr.16:29 943 929-29 944 387 |
| 1 | Funatsuki H, Hajika M, Yamada T, et al. Mapping and use of QTLs controlling pod dehiscence in soybean[J]. Breed Sci, 2012, 61(5): 554-558. |
| 2 | Ogutcen E, Pandey A, Khan MK, et al. Pod shattering: a homologous series of variation underlying domestication and an avenue for crop improvement[J]. Agronomy, 2018, 8(8): 137. |
| 3 | Di Vittori V, Gioia T, Rodriguez M, et al. Convergent evolution of the seed shattering trait[J]. Genes, 2019, 10(1): 68. |
| 4 | Tsuchiya T. Studies on shattering resistance in soybean breeding[J]. Report of Hokkaido Prefectural Agricultural Experiment Station, 1986, 58: 1-53. |
| 5 | Bailey MA, Mian MAR, Carter TE, et al. Pod dehiscence of soybean: Identification of quantitative trait loci[J]. J Hered, 1997, 88(2): 152-154. |
| 6 | Funatsuki H, Ishimoto M, Tsuji H, et al. Simple sequence repeat markers linked to a major QTL controlling pod shattering in soybean [J]. Plant Breed, 2006, 125(2): 195-197. |
| 7 | Liu BH, Fujita T, Yan ZH, et al. QTL mapping of domestication-related traits in soybean (Glycine max)[J]. Ann Bot, 2007, 100(5): 1027-1038. |
| 8 | Suzuki M, Fujino K, Nakamoto Y, et al. Fine mapping and development of DNA markers for the qPDH1 locus associated with pod dehiscence in soybean[J]. Mol Breed, 2010, 25(3): 407-418. |
| 9 | Lee JS, Kim KR, Ha BK, et al. Identification of SNPs tightly linked to the QTL for pod shattering in soybean[J]. Mol Breed, 2017, 37(4): 54. |
| 10 | Miranda C, Culp C, Škrabišová M, et al. Molecular tools for detecting Pdh1 can improve soybean breeding efficiency by reducing yield losses due to pod shatter[J]. Mol Breed, 2019, 39(2): 27. |
| 11 | Funatsuki H, Suzuki M, Hirose A, et al. Molecular basis of a shattering resistance boosting global dissemination of soybean[J]. Proc Natl Acad Sci USA, 2014, 111(50): 17797-17802 |
| 12 | Yong B, Zhu WW, Wei SM, et al. Parallel selection of loss-of-function alleles of Pdh1 orthologous genes in warm-season legumes for pod indehiscence and plasticity is related to precipitation[J]. New Phytol, 2023, 240(2): 863-879. |
| 13 | Ma XF, Xu WY, Liu T, et al. Functional characterization of soybean (Glycine max) DIRIGENT genes reveals an important role of GmDIR27 in the regulation of pod dehiscence[J]. Genomics, 2021, 113(1): 979-990. |
| 14 | Zhang JP, Singh AK. Genetic control and geo-climate adaptation of pod dehiscence provide novel insights into soybean domestication[J]. G3, 2020, 10(2): 545-554. |
| 15 | Dong Y, Yang X, Liu J, et al. Pod shattering resistance associated with domestication is mediated by a NAC gene in soybean[J]. Nat Commun, 2014, 5: 3352. |
| 16 | 韩德志, 任玉龙, 郭勇, 等. 大豆炸荚发生规律及分子遗传基础[J]. 遗传, 2015, 37(6): 535-543. |
| Han DZ, Ren YL, Guo Y, et al. Occurrence characteristics and molecular genetic basis of pod shattering in soybean[J]. Heredity, 2015, 37(6): 535-543. | |
| 17 | Fuller DQ. Contrasting patterns in crop domestication and domestication rates: Recent archaeobotanical insights from the old world[J]. Ann Bot, 2007, 100(5): 903-924. |
| 18 | 张跃进, 马赛斐, 高启云, 等. 黄淮流域主栽大豆品种炸荚性研究[J]. 河南农业科学, 2006, 35(6): 56-59. |
| Zhang YJ, Ma SF, Gao QY, et al. Study on the pod shattering of main soybean varieties of Huanghuai area[J] J Henan Agric Sci, 2006, 35(6): 56-59. | |
| 19 | 窦玲, 郝青南, 杨中路, 等. 大豆抗裂荚基因pdh1在长江中下游区域联合试验品种中的分布[J]. 中国油料作物学报, 2023, 45(4): 704-710. |
| Dou L, Hao QN, Yang ZL, et al. Distribution of pod shattering resistant gene pdh1 in varieties for multiple variety tests in Yangtze River regions[J]. Chin J Oil Crop Sci, 2023, 45(4): 704-710. | |
| 20 | Knapp SJ, Stroup WW, Ross WM. Exact confidence intervals for heritability on a progeny mean basis[J]. Crop Sci, 1985, 25(1): 192-194. |
| 21 | Wang JB, Zhang ZW. GAPIT version 3: Boosting power and accuracy for genomic association and prediction[J]. Genomics Proteomics Bioinformatics, 2021, 19(4): 629-640. |
| 22 | Wang M, Yan JB, Zhao JR, et al. Genome-wide association study (GWAS) of resistance to head smut in maize[J]. Plant Sci, 2012, 196: 125-131. |
| 23 | Zhang HY, Jiang H, Hu ZB, et al. Development of a versatile resource for post-genomic research through consolidating and characterizing 1500 diverse wild and cultivated soybean genomes[J]. BMC Genomics, 2022, 23(1): 250. |
| 24 | Jia J, Wang H, Cai ZD, et al. Identification and validation of stable and novel quantitative trait loci for pod shattering in soybean [Glycine max (L.) Merr.][J]. J Intege Agric, 2022, 21(11): 3169-3184. |
| 25 | Hu DZ, Kan GZ, Hu W, et al. Identification of loci and candidate genes responsible for pod dehiscence in soybean via genome-wide association analysis across multiple environments[J]. Front Plant Sci, 2019, 21(10): 811. |
| 26 | 余泓, 李家洋. 是金子无论在何处都发光: 玉米和水稻驯化中的趋同选择[J]. 植物学报, 2022, 57(2): 153-156. |
| Yu H, Li JY. The gold will glitter wherever it is: Convergent selection in domestication of maize and rice[J]. Chin Bull Bot, 2022, 57(2): 153-156. | |
| 27 | Zhao Y, Christensen SK, Fankhauser C, et al. A role for flavin monooxygenase-like enzymes in auxin biosynthesis[J]. Science, 2001, 291(5502): 306-309. |
| 28 | Mir Derikvand M, Sierra JB, Ruel K, et al. Redirection of the phenylpropanoid pathway to feruloyl malate in Arabidopsis mutants deficient for cinnamoyl-CoA reductase 1[J]. Planta, 2008, 227(5): 943-956. |
| [1] | YU Jing, YU Gui-shuang, SUN Hao-jie, JIANG Chun-jiao, YUAN Guang-di, YANG Zhen, WANG Zhi-wei, WANG Chao, WANG Chuan-tang. Affecting Factors and Relevant Marker Study on Peanut Seed Quality [J]. Biotechnology Bulletin, 2025, 41(2): 284-294. |
| [2] | HE Han, LIU Chuan-he, YU Meng-fan, YUAN Meng-ping, WEI Yue-rong, YANG Min, KUANG Rui-bin, ZHOU Chen-ping, WU Xia-ming, XU Ze. Development of Insertion-deletion Markers in Ananas comosus of Genome Based on Re-sequencing Data [J]. Biotechnology Bulletin, 2025, 41(2): 65-76. |
| [3] | MAO Xiang-hong, LU Yao, FAN Xiang-bin, DU Pei-bing, BAI Xiao-dong. Genetic Diversity Analysis of Potato Varieties Based on SSR Fluorescent Marker Capillary Electrophoresis and Construction of Molecular Identity Card [J]. Biotechnology Bulletin, 2024, 40(9): 131-140. |
| [4] | LI Si-qi, ZHANG Wen-chen, YANG Liu, FU Qing-xin, HONG Xin, ZHANG Hai-wang. Genetic Diversity Analysis and DNA Fingerprint Construction Based on SSR Markers for Xanthoceras sorbifolia [J]. Biotechnology Bulletin, 2024, 40(5): 74-83. |
| [5] | LI Qing, SHI Yu-he, ZHU Jue, LI Xiao-ling, HOU Chao-wen, TONG Qiao-zhen. Genetic Diversity Analysis and DNA Fingerprint Construction of Atractylodes macrocephala Germplasm Resources Based on SCoT Molecular Markers [J]. Biotechnology Bulletin, 2024, 40(11): 142-151. |
| [6] | AN Miao, WANG Tong-tong, FU Yi-ting, XIA Jun-jun, PENG Suo-tang, DUAN Yong-hong. Genetic Diversity Analysis and Molecular Identity Card Construction by SSR Markers of 52 Solanum tuberosum L. Varieties(Lines) [J]. Biotechnology Bulletin, 2023, 39(12): 136-147. |
| [7] | LU Yu-sheng, PENG Cheng, CHANG Xiao-xiao, QIU Ji-shui, CHEN Zhe, CHEN Hui-qiong. Genetic Diversity Analysis and Molecular Identity Establishment of Clausena lansium Germplasm Resources from Guangdong Province Based on SSR Markers [J]. Biotechnology Bulletin, 2023, 39(12): 187-199. |
| [8] | ZHOU Xiao-nan, XU Jin-qing, LEI Yu-qing, WANG Hai-qing. Development of SNP Markers in Medicago archiducis-nicolai Based on GBS-seq [J]. Biotechnology Bulletin, 2022, 38(4): 303-310. |
| [9] | WANG Yan-li, YANG Yi-ming, FAN Shu-tian, ZHAO Ying, XU Pei-lei, LU Wen-peng, LI Chang-yu. Genetic Diversity Analysis of 73 Vitis amurensis and Its Hybrids Offsprings Based on SSR Molecular Markers [J]. Biotechnology Bulletin, 2021, 37(1): 189-197. |
| [10] | ZHANG Le-chao, LIU Yue-qin, DUAN Chun-hui, ZHANG Ying-jie, WANG Yong, GUO Yun-xia. Analysis of Genetic Diversity and Genetic Structure in 7 Local Goat Breeds [J]. Biotechnology Bulletin, 2020, 36(6): 183-190. |
| [11] | LI Yong-hui, YU Xiáng-li, Má Hui-ping, GáO Kái, LIU Ming-xue. ánálysis on Genetic Diversity of ISSR from Different Páeoniá suffruticosá Cultivárs [J]. Biotechnology Bulletin, 2020, 36(4): 78-83. |
| [12] | ZHAO Xin-peng, ZHOU Yun, LÜ Lin-lin, LI Suo-ping, ZHANG Da-le. Genetic Diversity of Aegilops tauschii Coss. and Its Utilization in Improving Common Wheat [J]. Biotechnology Bulletin, 2019, 35(7): 181-189. |
| [13] | SHI Jian-bin, ZHOU Hong, WANG Ning, XU Qing-hua, QIAO Wen-qing, YAN Gen-tu. Purity Identification and Genetic Diversity Analysis of Cotton Germplasm Resources Using SSR Markers [J]. Biotechnology Bulletin, 2018, 34(7): 138-146. |
| [14] | ZHAO Ning, CHEN Shuang-lin. Research Progress on Genetic Diversity of Shiraia bambusicola,Biosynthesis and Anticancer Activity of Hypocrellin [J]. Biotechnology Bulletin, 2018, 34(4): 16-23. |
| [15] | WU Hai-yue, ZHAO Shuang, LIU Yu, LI Hua-min, SONG Shuang, NIU Yu-rong, RONG Cheng-bo. Evaluation of the Genetic Diversity of Pleurotus citrinopileatus by Combined ISSR and SRAP Analyses [J]. Biotechnology Bulletin, 2018, 34(4): 121-126. |
| Viewed | ||||||
|
Full text |
|
|||||
|
Abstract |
|
|||||