Biotechnology Bulletin ›› 2025, Vol. 41 ›› Issue (10): 87-97.doi: 10.13560/j.cnki.biotech.bull.1985.2025-0550
Previous Articles Next Articles
LI Bo-di(
), LI Zhi-chao, ZHU Guo-hui, PENG Xin-xiang, ZHANG Zhi-sheng(
)
Received:2025-05-30
Online:2025-10-26
Published:2025-10-28
Contact:
ZHANG Zhi-sheng
E-mail:1398327568@qq.com;zzsheng@scau.edu.cn
LI Bo-di, LI Zhi-chao, ZHU Guo-hui, PENG Xin-xiang, ZHANG Zhi-sheng. Expression of Glycolate Oxidase in Rice Chloroplasts and Its Effects on Photosynthesis and Growth[J]. Biotechnology Bulletin, 2025, 41(10): 87-97.
| 项目 Item | eating rate (℃/min) 升温速率 H | inal temperature (℃) 最终温度 F | 保持时间 Holding time (min) |
|---|---|---|---|
变化范围 Range of variation | - | 80.0 | 5.00 |
| 10.00 | 300.0 | 10.00 |
Table 1 Variation of column temperature during the determination of photorespiration-related metabolites by GCMS method
| 项目 Item | eating rate (℃/min) 升温速率 H | inal temperature (℃) 最终温度 F | 保持时间 Holding time (min) |
|---|---|---|---|
变化范围 Range of variation | - | 80.0 | 5.00 |
| 10.00 | 300.0 | 10.00 |
| 组分 Component | 特征碎片离子大小 Characteristic fragment ion size | etention time (s) 保留时间 R |
|---|---|---|
| 乙醇酸 Glycollic acid | 177 | 7.455 |
| 丙氨酸 Alanine | 116 | 8.045 |
| 草酸 Oxalic acid | 219 | 8.740 |
| 甘氨酸 Glycine | 174 | 12.000 |
| 琥珀酸 Succinic acid | 147 | 12.140 |
| 甘油酸 Glyceric acid | 189 | 12.380 |
| 丝氨酸 Serine | 204 | 12.870 |
| 苹果酸 Malic acid | 117 | 14.743 |
| α-酮戊二酸 α-ketoglutarate | 198 | 15.910 |
| 核糖醇 Ribitol | 73 | 17.760 |
| 柠檬酸 Citric acid | 273 | 18.845 |
Table 2 Retention times of photorespiration-related metabolites and their characteristic fragment ions
| 组分 Component | 特征碎片离子大小 Characteristic fragment ion size | etention time (s) 保留时间 R |
|---|---|---|
| 乙醇酸 Glycollic acid | 177 | 7.455 |
| 丙氨酸 Alanine | 116 | 8.045 |
| 草酸 Oxalic acid | 219 | 8.740 |
| 甘氨酸 Glycine | 174 | 12.000 |
| 琥珀酸 Succinic acid | 147 | 12.140 |
| 甘油酸 Glyceric acid | 189 | 12.380 |
| 丝氨酸 Serine | 204 | 12.870 |
| 苹果酸 Malic acid | 117 | 14.743 |
| α-酮戊二酸 α-ketoglutarate | 198 | 15.910 |
| 核糖醇 Ribitol | 73 | 17.760 |
| 柠檬酸 Citric acid | 273 | 18.845 |
Fig. 2 Acquirement and identification of transgenic rice plantsA: Transfomation procedure of rice (a1: screening of callus; a2: pre-differentiation; a3: differentiation; a4: rooting and strenghening). B: Western blot analysis of transgenic plants, GLO and CAT were detected by His monoclonal antibody in Western blot analysis. C-E: mRNA levels of transgenic plants (C: mRNA levels of OsGLO1; D: mRNA levels of OsGLO3; E: mRNA levels of CAT). F: GLO activity. G: CAT activity of G1K-OE and G3C-OE transgenic plants. H: DAB-staining of transgenic rice leaves. I: Relative expression of RbOH-b. G1-OE: Overexpressed line of chloroplast GLO1. G1K-OE: Over expressed line of chloroplast GLO1-KAT. G3-OE: Overexpressed line of chloroplast GLO3. G3C-OE: Overexpressed line of chloroplast GLO3-CAT. n=, *P<0.05, **P<0.01, ***P<0.001, t-test. The same below
Fig. 3 Phenotypic observation of transgenic rice plantsA: Phenotypic observation of transgenic plants at seedling stage. B: Plant height. C: Maximum length of root. D: Transgenic rice plants of G1-OE and G1K-OE. E: Length of flag leaf. F: Width of flag leaf. G: Transgenic rice plants of G3-OE and G3C-OE. H: Plant height. I: Number of tillers. n=10
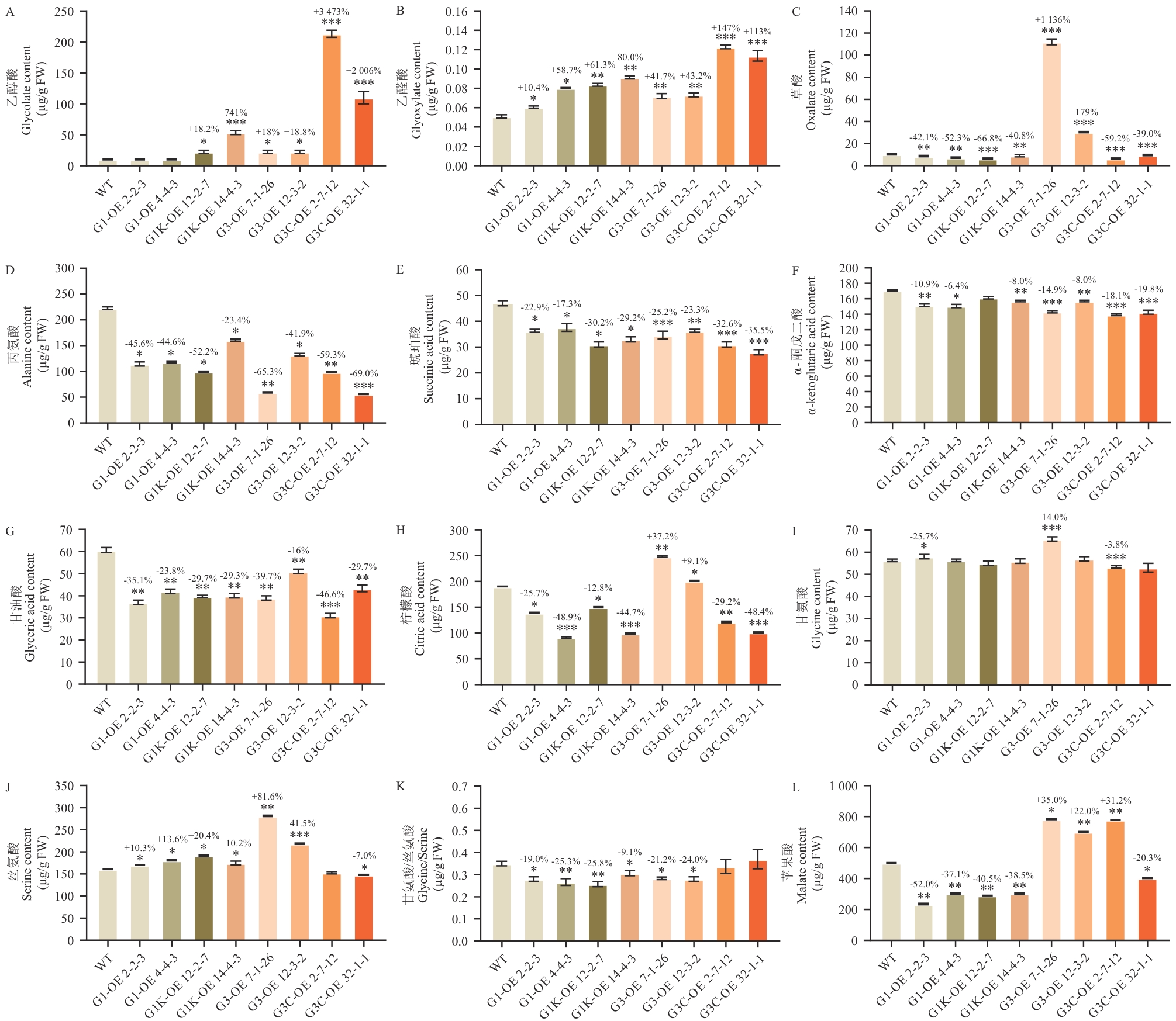
Fig. 5 Content determination of photorespiration metabolites of GCGT tansgenic plants leaves at seedling stageTake the second leaf after hydroponic with Kimura B nutrient solution under natural light until the fourth leaf fully spreads, and the sampling time is 13:00‒15:00, n=3
| [1] | Falcon WP, Naylor RL, Shankar ND. Rethinking global food demand for 2050 [J]. Popul Dev Rev, 2022, 48(4): 921-957. |
| [2] | Tian ZX, Wang JW, Li JY, et al. Designing future crops: challenges and strategies for sustainable agriculture [J]. Plant J, 2021, 105(5): 1165-1178. |
| [3] | Croce R, Carmo-Silva E, Cho YB, et al. Perspectives on improving photosynthesis to increase crop yield [J]. Plant Cell, 2024, 36(10): 3944-3973. |
| [4] | Zhu XG, Long SP, Ort DR. Improving photosynthetic efficiency for greater yield [J]. Annu Rev Plant Biol, 2010, 61: 235-261. |
| [5] | Jin KN, Chen GX, Yang YR, et al. Strategies for manipulating rubisco and creating photorespiratory bypass to boost C3 photosynthesis: prospects on modern crop improvement [J]. Plant Cell Environ, 2023, 46(2): 363-378. |
| [6] | 张智胜, 朱国辉, 彭新湘. 优化碳同化实现作物高光效研究进展 [J]. 华南农业大学学报, 2022, 43(6): 69-77. |
| Zhang ZS, Zhu GH, Peng XX. Advances in improvement of crop photosynthetic efficiency by optimizing the photosynthetic carbon assimilation [J]. J South China Agric Univ, 2022, 43(6): 69-77. | |
| [7] | Zhang ZS, Zhu GH, Peng XX. Photorespiration in plant adaptation to environmental changes [J]. Crop Environ, 2024, 3(4): 203-212. |
| [8] | 朱国辉, 张智胜, 彭新湘. 光呼吸演化、调控与遗传改良 [J]. 生命科学, 2024, 36(10): 1226-1239. |
| Zhu GH, Zhang ZS, Peng XX. Photorespiration evolution, regulation, and genetic improvement [J]. Chin Bull Life Sci, 2024, 36(10): 1226-1239. | |
| [9] | Ehlers I, Augusti A, Betson TR, et al. Detecting long-term metabolic shifts using isotopomers: CO2-driven suppression of photorespiration in C3 plants over the 20th century [J]. Proc Natl Acad Sci USA, 2015, 112(51): 15585-15590. |
| [10] | Chen GX, Li YN, Jin KN, et al. Synthetic photorespiratory bypass improves rice productivity by enhancing photosynthesis and nitrogen uptake [J]. Plant Cell, 2024, 37(1): koaf015. |
| [11] | Wang LM, Shen BR, Li BD, et al. A synthetic photorespiratory shortcut enhances photosynthesis to boost biomass and grain yield in rice [J]. Mol Plant, 2020, 13(12): 1802-1815. |
| [12] | Shen BR, Wang LM, Lin XL, et al. Engineering a new chloroplastic photorespiratory bypass to increase photosynthetic efficiency and productivity in rice [J]. Mol Plant, 2019, 12(2): 199-214. |
| [13] | South PF, Cavanagh AP, Liu HW, et al. Synthetic glycolate metabolism pathways stimulate crop growth and productivity in the field [J]. Science, 2019, 363(6422): eaat9077. |
| [14] | Kebeish R, Niessen M, Thiruveedhi K, et al. Chloroplastic photorespiratory bypass increases photosynthesis and biomass production in Arabidopsis thaliana [J]. Nat Biotechnol, 2007, 25(5): 593-599. |
| [15] | Nölke G, Houdelet M, Kreuzaler F, et al. The expression of a recombinant glycolate dehydrogenase polyprotein in potato (Solanum tuberosum) plastids strongly enhances photosynthesis and tuber yield [J]. Plant Biotechnol J, 2014, 12(6): 734-742. |
| [16] | Dalal J, Lopez H, Vasani NB, et al. A photorespiratory bypass increases plant growth and seed yield in biofuel crop Camelina sativa [J]. Biotechnol Biofuels, 2015, 8: 175. |
| [17] | Li BD, Huang AY, Wang LM, et al. Increased sugar content impairs pollen fertility and reduces seed-setting in high-photosynthetic-efficiency rice [J]. Crop J, 2024, 12(6): 1547-1558. |
| [18] | Shen BR, Zhu CH, Yao Z, et al. An optimized transit peptide for effective targeting of diverse foreign proteins into chloroplasts in rice [J]. Sci Rep, 2017, 7: 46231. |
| [19] | Xu Z, Guo WD, Mo BQ, et al. Mitogen-activated protein kinase 2 specifically regulates photorespiration in rice [J]. Plant Physiol, 2023, 193(2): 1381-1394. |
| [20] | Mo BQ, Chen XF, Yang JJ, et al. Engineering of photorespiration-dependent glycine betaine biosynthesis improves photosynthetic carbon fixation and panicle architecture in rice [J]. J Integr Plant Biol, 2025, 67(4): 979-992. |
| [21] | Oliver DJ, Zelitch I. Increasing photosynthesis by inhibiting photorespiration with glyoxylate [J]. Science, 1977, 196(4297): 1450-1451. |
| [22] | Li XY, Chen LR, Zeng XY, et al. Wounding induces a peroxisomal H2O2 decrease via glycolate oxidase-catalase switch dependent on glutamate receptor-like channel-supported Ca2+ signaling in plants [J]. Plant J, 2023, 116(5): 1325-1341. |
| [23] | Li XY, Liao MM, Huang JY, et al. Dynamic and fluctuating generation of hydrogen peroxide via photorespiratory metabolic channeling in plants [J]. Plant J, 2022, 112(6): 1429-1446. |
| [24] | Zhang ZS, Liang X, Lu L, et al. Two glyoxylate reductase isoforms are functionally redundant but required under high photorespiration conditions in rice [J]. BMC Plant Biol, 2020, 20(1): 357. |
| [25] | Lu YS, Li Y, Yang QS, et al. Suppression of glycolate oxidase causes glyoxylate accumulation that inhibits photosynthesis through deactivating rubisco in rice [J]. Physiol Plant, 2014, 150(3): 463-476. |
| [26] | Xu HW, Zhang JJ, Zeng JW, et al. Inducible antisense suppression of glycolate oxidase reveals its strong regulation over photosynthesis in rice [J]. J Exp Bot, 2009, 60(6): 1799-1809. |
| [27] | Mittler R, Zandalinas SI, Fichman Y, et al. Reactive oxygen species signalling in plant stress responses [J]. Nat Rev Mol Cell Biol, 2022, 23(10): 663-679. |
| [28] | Aroca A, García-Díaz I, García-Calderón M, et al. Photorespiration: regulation and new insights on the potential role of persulfidation [J]. J Exp Bot, 2023, 74(19): 6023-6039. |
| [1] | DENG Mei-bi, YAN Lang, ZHAN Zhi-tian, ZHU Min, HE Yu-bing. Efficient CRISPR Gene Editing in Rice Assisted by RUBY [J]. Biotechnology Bulletin, 2025, 41(8): 65-73. |
| [2] | CHENG Xue, FU Ying, CHAI Xiao-jiao, WANG Hong-yan, DENG Xin. Identification of LHC Gene Family in Setaria italica and Expression Analysis under Abiotic Stresses [J]. Biotechnology Bulletin, 2025, 41(8): 102-114. |
| [3] | HOU Ying-xiang, FEI Si-tian, LI Ni, LI Lan, SONG Song-quan, WANG Wei-ping, ZHANG Chao. Research Progress in Response of Rice miRNAs to Biotic Stress [J]. Biotechnology Bulletin, 2025, 41(7): 69-80. |
| [4] | WU Hao, DONG Wei-feng, HE Zi-tian, LI Yan-xiao, XIE Hui, SUN Ming-zhe, SHEN Yang, SUN Xiao-li. Genome-wide Identification and Expression Analysis of the Rice BXL Gene Family [J]. Biotechnology Bulletin, 2025, 41(6): 87-98. |
| [5] | DU Liang-heng, TANG Huang-lei, ZHANG Zhi-guo. Map-based Cloning of Light-responsive Gene ELM1 in Rice [J]. Biotechnology Bulletin, 2025, 41(5): 82-89. |
| [6] | LIU Yuan-yuan, CHEN Xi-feng, QIAN Qian, GAO Zhen-yu. Advances in Molecular Mechanisms Regulating Panicle Development in Rice [J]. Biotechnology Bulletin, 2025, 41(5): 1-13. |
| [7] | CHEN Xiao-jun, HUI Jian, MA Hong-wen, BAI Hai-Bo, ZHONG Nan, LI Jia-run, FAN Yun-fang. Creating Rice Gerplasm Resources OsALS Rsistant to Herbicide through Single Base Gene Editing Technology [J]. Biotechnology Bulletin, 2025, 41(4): 106-114. |
| [8] | WU Xia-ming, YANG Min, ZHOU Chen-ping, KUANG Rui-bin, LIU Chuan-he, HE Han, XU Ze, WEI Yue-rong. Effects of Different Concentrations of Melatonin on the Physiological Characteristics of Strawberry Seedlings under High-temperature Stress [J]. Biotechnology Bulletin, 2025, 41(3): 181-189. |
| [9] | WANG Bin, WANG Yu-kun, XIAO Yan-hui. Comparative Transcriptomic Analysis of Clove Basil (Ocimum gratissimum) Leaves in Response to Cadmium Stress [J]. Biotechnology Bulletin, 2025, 41(3): 255-270. |
| [10] | LI Xin-peng, ZHANG Wu-han, ZHANG Li, SHU Fu, HE Qiang, GUO Yang, DENG Hua-feng, WANG Yue, SUN Ping-yong. Creation of Rice Mutant by Gamma-ray and Its Molecular Identification [J]. Biotechnology Bulletin, 2025, 41(3): 35-43. |
| [11] | LIU Jie, WANG Fei, TAO Ting, ZHANG Yu-jing, CHEN Hao-ting, ZHANG Rui-xing, SHI Yu, ZHANG Yi. Overexpression of SlWRKY41 Improves the Tolerance of Tomato Seedlings to Drought [J]. Biotechnology Bulletin, 2025, 41(2): 107-118. |
| [12] | FANG Hui-min, GU Yi-shu, ZHANG Jing, ZHANG Long. Isolation and Physicochemical Properties Analysis of Starch from Rice Leaves [J]. Biotechnology Bulletin, 2025, 41(2): 51-57. |
| [13] | FAN Yan-fei, YE Lu-huan, LI Yu-tong, WANG Chuan-luo, ZHANG Rui, LUO Jian-hua, WANG Peng. Utilizing Wheat Hybrid Lines to Mine Genes Regulating Cyclic Electron Flow and Applying Them in Improving Photosynthetic Efficiency in Crops [J]. Biotechnology Bulletin, 2025, 41(10): 72-86. |
| [14] | LI Xin-ying, SUN Jing, LYU Ruo-tong, REN Ya-juan, LUO Lei, AI Peng-fei, WANG Yan-wei. Research Progress in the Molecular Mechanism of PPR Protein-regulated Chloroplast RNA Editing [J]. Biotechnology Bulletin, 2025, 41(10): 32-42. |
| [15] | GAO Bo-wen, DING Shun-hua, CHEN Xiao-jun, WEN Xiao-gang, TIAN Li-jin, LU Qing-tao. Strategies for Optimizing Photosynthesis to Enhance Agricultural Production Efficiency [J]. Biotechnology Bulletin, 2025, 41(10): 54-63. |
| Viewed | ||||||
|
Full text |
|
|||||
|
Abstract |
|
|||||