Biotechnology Bulletin ›› 2026, Vol. 42 ›› Issue (4): 297-309.doi: 10.13560/j.cnki.biotech.bull.1985.2025-1104
Previous Articles Next Articles
DONG Yu-tao1,2,3,4(
), BAO Hui-fang3, He Miao1,4, HOU Peng1,4, LI Feng1,4, WANG Zhi-xi1,4, QIN Yao1,4, LUO Qing-hong1,4(
)
Received:2025-10-15
Online:2026-04-26
Published:2026-02-09
Contact:
LUO Qing-hong
E-mail:2543614693@qq.com;lqh482325@sina.com
DONG Yu-tao, BAO Hui-fang, He Miao, HOU Peng, LI Feng, WANG Zhi-xi, QIN Yao, LUO Qing-hong. Optimization of the Fermentation Process and Plant Growth-Promoting Effects of a Salt-tolerant Microbial Consortium from the Rhizosphere of Elaeagnus angustifolia[J]. Biotechnology Bulletin, 2026, 42(4): 297-309.
菌株编号 Strain code | 菌株学名 Strain scientific name | 促生特性 Growth-promoting characteristic |
|---|---|---|
SZ1[ CGMCC No.32296 | 泛菌 | 固氮,产铁载体,产氨,溶磷,分泌吲哚乙酸 |
| Pantoea rodasii | Nitrogen fixation, siderophore production, ammonia synthesis, phosphorus solubilization, and indole-3-acetic acid secretion | |
NY8[ CGMCC No.33699 | 嗜肉考克氏菌 | 固氮,产氨,分泌吲哚乙酸 |
| Kocuria carniphila | Nitrogen fixation, ammonia synthesis, and indole-3-acetic acid secretion |
Table 1 Strains for experiment
菌株编号 Strain code | 菌株学名 Strain scientific name | 促生特性 Growth-promoting characteristic |
|---|---|---|
SZ1[ CGMCC No.32296 | 泛菌 | 固氮,产铁载体,产氨,溶磷,分泌吲哚乙酸 |
| Pantoea rodasii | Nitrogen fixation, siderophore production, ammonia synthesis, phosphorus solubilization, and indole-3-acetic acid secretion | |
NY8[ CGMCC No.33699 | 嗜肉考克氏菌 | 固氮,产氨,分泌吲哚乙酸 |
| Kocuria carniphila | Nitrogen fixation, ammonia synthesis, and indole-3-acetic acid secretion |
| 因素 Factor | 水平 Factor level | ||
|---|---|---|---|
| -1 | 0 | 1 | |
| A:糖蜜 Glycerol (g/L) | 5 | 10 | 15 |
| B:蛋白胨 Peptone (g/L) | 5 | 10 | 15 |
| C:酵母粉 Yeastextract (g/L) | 4 | 5 | 6 |
| D:磷酸氢二钠 Na2HPO4 (g/L) | 4 | 5 | 6 |
Table 2 Optimization of Box-Behnken test factors and levels
| 因素 Factor | 水平 Factor level | ||
|---|---|---|---|
| -1 | 0 | 1 | |
| A:糖蜜 Glycerol (g/L) | 5 | 10 | 15 |
| B:蛋白胨 Peptone (g/L) | 5 | 10 | 15 |
| C:酵母粉 Yeastextract (g/L) | 4 | 5 | 6 |
| D:磷酸氢二钠 Na2HPO4 (g/L) | 4 | 5 | 6 |
菌株编号 Strain code | OD600 | ||||||||
|---|---|---|---|---|---|---|---|---|---|
| NaCl (0%) | NaCl (1%) | NaCl (2%) | NaCl (3%) | NaCl (4%) | NaCl (5%) | NaCl (10%) | NaCl (15%) | ||
SZ1 CGMCC No.32296 | 1.76±0.10a | 1.37±0.22b | 0.75±0.05c | 0.59±0.07c | 0.04±0.02d | 0.03±0.01d | 0.02±0.01d | 0.02±0.01d | |
NY8 CGMCC No.33699 | 1.92±0.18a | 1.88±0.13a | 1.83±0.15a | 1.84±0.12a | 1.79±0.09a | 1.76±0.16a | 1.15±0.13b | 0.77±0.14c | |
Table 3 Determination of salt concentrations the strains tolerate
菌株编号 Strain code | OD600 | ||||||||
|---|---|---|---|---|---|---|---|---|---|
| NaCl (0%) | NaCl (1%) | NaCl (2%) | NaCl (3%) | NaCl (4%) | NaCl (5%) | NaCl (10%) | NaCl (15%) | ||
SZ1 CGMCC No.32296 | 1.76±0.10a | 1.37±0.22b | 0.75±0.05c | 0.59±0.07c | 0.04±0.02d | 0.03±0.01d | 0.02±0.01d | 0.02±0.01d | |
NY8 CGMCC No.33699 | 1.92±0.18a | 1.88±0.13a | 1.83±0.15a | 1.84±0.12a | 1.79±0.09a | 1.76±0.16a | 1.15±0.13b | 0.77±0.14c | |
Fig. 1 Effects of co-fermentation on the phosphate-solubilizing, nitrogen-fixing, and indole-3-acetic acid (IAA) production abilities of strain SZ1 and NY8
| 试验编号 Experiment number | A糖蜜 Molasses | B蛋白陈 Peptone | C酵母粉 Yeast extract | D磷酸氢二钠Na2HPO4 | OD600 |
|---|---|---|---|---|---|
| 1 | 0 | 0 | 0 | 0 | 3.863 |
| 2 | 0 | 0 | 1 | -1 | 3.049 |
| 3 | -1 | 1 | 0 | 0 | 3.026 |
| 4 | 1 | 1 | 0 | 0 | 3.007 |
| 5 | 0 | 1 | 1 | 0 | 3.027 |
| 6 | 0 | 1 | 0 | 1 | 3.032 |
| 7 | 0 | -1 | 0 | 1 | 3.652 |
| 8 | -1 | 0 | 0 | -1 | 2.985 |
| 9 | 0 | 0 | 0 | 0 | 3.942 |
| 10 | -1 | -1 | 0 | 0 | 2.768 |
| 11 | 1 | 0 | 0 | -1 | 3.148 |
| 12 | 0 | 1 | -1 | 0 | 3.049 |
| 13 | 0 | 0 | 1 | 1 | 3.484 |
| 14 | 0 | 0 | -1 | -1 | 3.124 |
| 15 | 0 | -1 | 1 | 0 | 3.526 |
| 16 | 0 | -1 | -1 | 0 | 3.029 |
| 17 | 0 | -1 | 0 | -1 | 2.759 |
| 18 | 0 | 0 | -1 | 1 | 2.794 |
| 19 | 1 | 0 | -1 | 0 | 3.346 |
| 20 | 0 | 0 | 0 | 0 | 3.965 |
| 21 | 1 | 0 | 1 | 0 | 3.444 |
| 22 | -1 | 0 | 0 | 1 | 2.598 |
| 23 | 0 | 0 | 0 | 0 | 3.874 |
| 24 | -1 | 0 | -1 | 0 | 2.927 |
| 25 | -1 | 0 | 1 | 0 | 3.149 |
| 26 | 1 | -1 | 0 | 0 | 3.678 |
| 27 | 1 | 0 | 0 | 1 | 3.564 |
| 28 | 0 | 1 | 0 | -1 | 3.259 |
| 29 | 0 | 0 | 0 | 0 | 3.975 |
Table 4 Box-Behnken experimental design and results
| 试验编号 Experiment number | A糖蜜 Molasses | B蛋白陈 Peptone | C酵母粉 Yeast extract | D磷酸氢二钠Na2HPO4 | OD600 |
|---|---|---|---|---|---|
| 1 | 0 | 0 | 0 | 0 | 3.863 |
| 2 | 0 | 0 | 1 | -1 | 3.049 |
| 3 | -1 | 1 | 0 | 0 | 3.026 |
| 4 | 1 | 1 | 0 | 0 | 3.007 |
| 5 | 0 | 1 | 1 | 0 | 3.027 |
| 6 | 0 | 1 | 0 | 1 | 3.032 |
| 7 | 0 | -1 | 0 | 1 | 3.652 |
| 8 | -1 | 0 | 0 | -1 | 2.985 |
| 9 | 0 | 0 | 0 | 0 | 3.942 |
| 10 | -1 | -1 | 0 | 0 | 2.768 |
| 11 | 1 | 0 | 0 | -1 | 3.148 |
| 12 | 0 | 1 | -1 | 0 | 3.049 |
| 13 | 0 | 0 | 1 | 1 | 3.484 |
| 14 | 0 | 0 | -1 | -1 | 3.124 |
| 15 | 0 | -1 | 1 | 0 | 3.526 |
| 16 | 0 | -1 | -1 | 0 | 3.029 |
| 17 | 0 | -1 | 0 | -1 | 2.759 |
| 18 | 0 | 0 | -1 | 1 | 2.794 |
| 19 | 1 | 0 | -1 | 0 | 3.346 |
| 20 | 0 | 0 | 0 | 0 | 3.965 |
| 21 | 1 | 0 | 1 | 0 | 3.444 |
| 22 | -1 | 0 | 0 | 1 | 2.598 |
| 23 | 0 | 0 | 0 | 0 | 3.874 |
| 24 | -1 | 0 | -1 | 0 | 2.927 |
| 25 | -1 | 0 | 1 | 0 | 3.149 |
| 26 | 1 | -1 | 0 | 0 | 3.678 |
| 27 | 1 | 0 | 0 | 1 | 3.564 |
| 28 | 0 | 1 | 0 | -1 | 3.259 |
| 29 | 0 | 0 | 0 | 0 | 3.975 |
| 方差来源 Sources of variance | 平方和 Sum of squares | 自由度 Degrees of freedom | 均方 Mean square | F值 F-value | P值 P-value | 显著性 Significance |
|---|---|---|---|---|---|---|
| 模型 | 4.38 | 14 | 0.312 7 | 28.01 | <0.000 1 | ** |
| A-糖蜜 Molasses | 0.622 9 | 1 | 0.622 9 | 55.79 | <0.000 1 | ** |
| B-蛋白陈 Peptone | 0.085 3 | 1 | 0.085 3 | 7.64 | 0.015 2 | * |
| C-酵母粉 Yease extract | 0.165 7 | 1 | 0.165 7 | 14.84 | 0.001 8 | ** |
| D-磷酸氢二钠 Na2HPO4 | 0.053 3 | 1 | 0.053 3 | 4.78 | 0.046 3 | * |
| AB | 0.215 8 | 1 | 0.215 8 | 19.32 | 0.000 6 | ** |
| AC | 0.003 8 | 1 | 0.003 8 | 0.344 3 | 0.566 7 | - |
| AD | 0.161 2 | 1 | 0.161 2 | 14.44 | 0.002 0 | ** |
| BC | 0.067 3 | 1 | 0.067 3 | 6.03 | 0.027 7 | * |
| BD | 0.313 6 | 1 | 0.313 6 | 28.09 | 0.000 1 | ** |
| CD | 0.146 3 | 1 | 0.146 3 | 13.10 | 0.002 8 | ** |
| A2 | 1.04 | 1 | 1.04 | 92.75 | <0.000 1 | ** |
| B2 | 0.927 1 | 1 | 0.927 1 | 83.04 | <0.000 1 | ** |
| C2 | 0.845 6 | 1 | 0.845 6 | 75.74 | <0.000 1 | ** |
| D2 | 1.16 | 1 | 1.16 | 104.23 | <0.000 1 | ** |
| 残差 | 0.156 3 | 14 | 0.011 2 | |||
| 失拟项 | 0.145 5 | 10 | 0.014 5 | 5.37 | 0.059 7 | |
| 纯误差 | 0.010 8 | 4 | 0.002 7 | |||
| 总和 | 4.53 | 28 |
Table 5 ANOVA of the quadratic model in response surface methodology
| 方差来源 Sources of variance | 平方和 Sum of squares | 自由度 Degrees of freedom | 均方 Mean square | F值 F-value | P值 P-value | 显著性 Significance |
|---|---|---|---|---|---|---|
| 模型 | 4.38 | 14 | 0.312 7 | 28.01 | <0.000 1 | ** |
| A-糖蜜 Molasses | 0.622 9 | 1 | 0.622 9 | 55.79 | <0.000 1 | ** |
| B-蛋白陈 Peptone | 0.085 3 | 1 | 0.085 3 | 7.64 | 0.015 2 | * |
| C-酵母粉 Yease extract | 0.165 7 | 1 | 0.165 7 | 14.84 | 0.001 8 | ** |
| D-磷酸氢二钠 Na2HPO4 | 0.053 3 | 1 | 0.053 3 | 4.78 | 0.046 3 | * |
| AB | 0.215 8 | 1 | 0.215 8 | 19.32 | 0.000 6 | ** |
| AC | 0.003 8 | 1 | 0.003 8 | 0.344 3 | 0.566 7 | - |
| AD | 0.161 2 | 1 | 0.161 2 | 14.44 | 0.002 0 | ** |
| BC | 0.067 3 | 1 | 0.067 3 | 6.03 | 0.027 7 | * |
| BD | 0.313 6 | 1 | 0.313 6 | 28.09 | 0.000 1 | ** |
| CD | 0.146 3 | 1 | 0.146 3 | 13.10 | 0.002 8 | ** |
| A2 | 1.04 | 1 | 1.04 | 92.75 | <0.000 1 | ** |
| B2 | 0.927 1 | 1 | 0.927 1 | 83.04 | <0.000 1 | ** |
| C2 | 0.845 6 | 1 | 0.845 6 | 75.74 | <0.000 1 | ** |
| D2 | 1.16 | 1 | 1.16 | 104.23 | <0.000 1 | ** |
| 残差 | 0.156 3 | 14 | 0.011 2 | |||
| 失拟项 | 0.145 5 | 10 | 0.014 5 | 5.37 | 0.059 7 | |
| 纯误差 | 0.010 8 | 4 | 0.002 7 | |||
| 总和 | 4.53 | 28 |
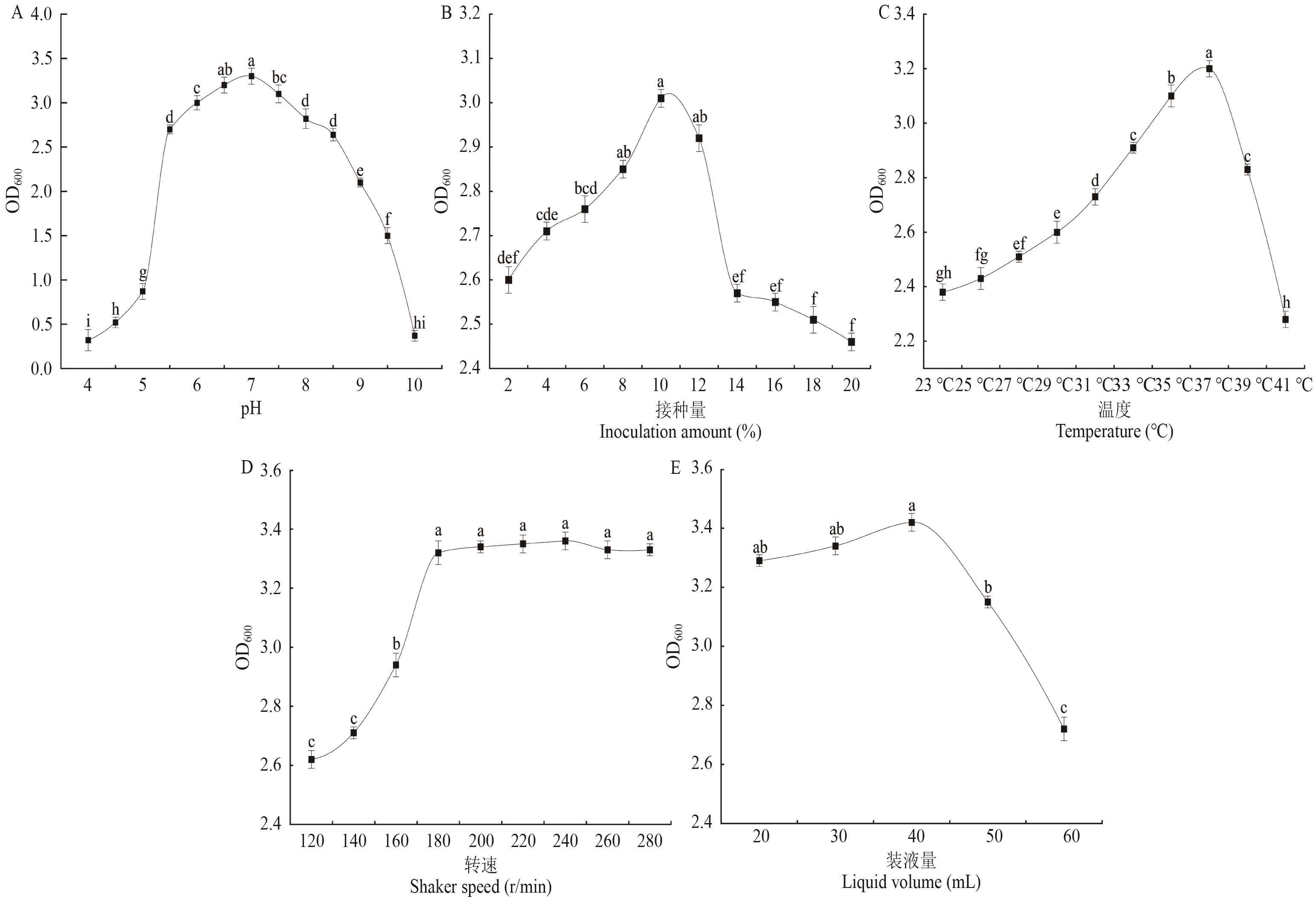
Fig. 3 Response surface plot of effects of interaction factors on OD600 of the microbial consortiumNote:Different letters indicate significant differences(P<0.05), the same below
| [1] | 刘珩, 蒋腾, 罗青红, 等. 新疆大果沙枣果实褐斑病菌主要生物学特性及室内药剂筛选 [J]. 河北农业科学, 2024, 28(3): 62-68. |
| Liu H, Jiang T, Luo QH, et al. Main biological characteristics and indoor pesticides screening of furit brown spot of Elaeagnus angustifolia in Xinjiang [J]. J Hebei Agric Sci, 2024, 28(3): 62-68. | |
| [2] | 常跃畅, 葛亚军, 曹占强, 等. 我国盐碱地分布特征及改良实践分析 [J]. 农业灾害研究, 2025, 15(1): 244-246. |
| Chang YC, Ge YJ, Cao ZQ, et al. Spatial distribution and amelioration strategies for saline-alkali soils in China [J]. J Agricultural Catastrophology, 2025, 15(1): 244-246. | |
| [3] | 孔亚丽, 秦华, 朱春权, 等. 土壤微生物影响土壤健康的作用机制研究进展 [J]. 土壤学报, 2024, 61(2): 331-347. |
| Kong YL, Qin H, Zhu CQ, et al. Research progress on the mechanism by which soil microorganisms affect soil health [J]. Acta Pedol Sin, 2024, 61(2): 331-347. | |
| [4] | 廖永琴, 王楠, 施竹凤, 等. 耐盐芽胞杆菌鉴定、发酵条件优化及其生防作用 [J]. 中国生物防治学报, 2025, 41(3): 571-584. |
| Liao YQ, Wang N, Shi ZF, et al. Identification of Bacillus halotolerans, optimization of fermentation conditions and its biocontrol effect [J]. Chin J Biol Control, 2025, 41(3): 571-584. | |
| [5] | 魏振勇, 于爽, 迟雪梅, 等. 海洋来源成团泛菌Y-03产低温甾醇酯酶发酵条件优化 [J]. 中国酿造, 2025, 44(1): 219-225. |
| Wei ZY, Yu S, Chi XM, et al. Optimization of fermentation conditions for low-temperature sterol esterase production by Pantoea agglomerans from marine [J]. China Brew, 2025, 44(1): 219-225. | |
| [6] | 徐姮, 李婵娟, 洪玉枝, 等. 考克氏菌木聚糖酶发酵条件的优化 [J]. 华中农业大学学报, 2009, 28(6): 701-704. |
| Xu D, Li CJ, Hong YZ, et al. Optimization of liquid fermentation condition of xylanase produced by kocuria sp. Mn22 [J]. J Huazhong Agric Univ, 2009, 28(6): 701-704. | |
| [7] | 车永梅, 刘广超, 郭艳苹, 等. 一种耐盐复合菌剂的制备和促生作用研究 [J]. 生物技术通报, 2023, 39(11): 217-225. |
| Che YM, Liu GC, Guo YP, et al. Preparation of compound halotolerant bioinoculant and study on its growth-promoting effect[J]. Biotechnol Bull, 2023, 39(11): 217-225. | |
| [8] | 毛建才, 熊木, 翟文强, 等. 短期NaCl胁迫下9个甜瓜品种抗性生理指标的综合评价 [J]. 新疆农业科学, 2020, 57(8): 1421-1430. |
| Mao JC, Xiong M, Zhai WQ, et al. Comprehensive evaluation of physiological indexes of nine melon varieties under NaCl stress [J]. Xinjiang Agric Sci, 2020, 57(8): 1421-1430. | |
| [9] | 罗青红, 董宇韬, 陈启民, 等. 一株沙枣根际促生菌及其耐盐诱导方法: CN113068559A [P]. 2025-03-25. |
| Luo QH, Dong YT, Chen QM, et al. A growth-promoting rhizobacterium from Elaeagnus angustifolia and its salt-tolerance induction method: CN113068559A [P]. 2025-03-25. | |
| [10] | 罗青红, 董宇韬, 陈启民, 等. 一株嗜肉考克氏菌NY8及其在盐碱土壤改良中的应用: CN120097786B [P]. 2025-08-22. |
| Luo QH, Dong YT, Chen QM, et al. A strain of Kocuria carniphila NY8 and its application in saline-alkali soil improvement: CN120097786B [P]. 2025-08-22. | |
| [11] | 车建美, 郑雪芳, 王阶平, 等. 一株产纤维素酶菌株的筛选、鉴定及全基因组分析 [J]. 生物技术通报, 2025, 41(3): 294-307. |
| Che JM, Zheng XF, Wang JP, et al. Screening, identification and whole genome analysis of a cellulase producing strain [J]. Biotechnol Bull, 2025, 41(3): 294-307. | |
| [12] | 姚拓. 高寒地区燕麦根际联合固氮菌研究Ⅱ固氮菌的溶磷性和分泌植物生长素特性测定 [J]. 草业学报, 2004, 13(3): 85-90. |
| Yao T. Associative nitrogen-fixing bacteria in the rhizosphere of Avena sativa in an alpine region Ⅱ Phosphate-solubilizing power and auxin production [J]. Acta Prataculturae Sin, 2004, 13(3): 85-90. | |
| [13] | 许世洋, 范雨轩, 汪学苗, 等. 辣椒镰孢根腐病防病促生细菌的筛选及其效应 [J]. 微生物学报, 2022, 62(7): 2735-2750. |
| Xu SY, Fan YX, Wang XM, et al. Screening and effect of growth-promoting bacteria against fusarium root rot of pepper [J]. Acta Microbiol Sin, 2022, 62(7): 2735-2750. | |
| [14] | Wu GF, Zhou XP. Characterization of phosphorus-releasing bacteria in a small eutrophic shallow lake, Eastern China [J]. Water Res, 2005, 39(19): 4623-4632. |
| [15] | 徐亚英, 黄晓梅, 谢丽, 等. 枯草芽孢杆菌液体发酵条件优化探究 [J]. 南方农业, 2020, 14(20): 139-142. |
| Xu YY, Huang XM, Xie L, et al. Optimization of liquid fermentation conditions for Bacillus subtilis [J]. South China Agric, 2020, 14(20): 139-142. | |
| [16] | Li RF, Xu Y. Fermentation optimization to improve production of antagonistic metabolites by Bacillus subtilis strain BS501a [J]. J Cent South Univ Technol, 2011, 18(4): 1047-1053. |
| [17] | 刘芳, 廖先清, 周荣华, 等. 枯草芽孢杆菌BZJN1发酵培养基和培养条件的优化 [J]. 湖北农业科学, 2019, 58(20): 93-96. |
| Liu F, Liao XQ, Zhou RH, et al. Optimization of fermentation medium and conditions for Bacillus subtilis BZJN1 [J]. Hubei Agric Sci, 2019, 58(20): 93-96. | |
| [18] | 国家质量监督检验检疫总局 中国国家标准化管理委员会. 农用微生物菌剂: [S]. 北京: 中国标准出版社, 2006: 4-16. |
| Standardization Administration of the People’s Republic of China. Microbial inoculants in agriculture: [S]. Beijing: Standards Press of China, 2006: 4-16. | |
| [19] | 李华静, 王晓东. 酵母菌0939-5产挥发性抑菌物质固态发酵工艺优化 [J]. 新疆农业科学, 2023(7): 1773-1779. |
| Li HJ, Wang XD. Study on the solid-state fermentation technology of yeast 0939-5 [J]. Xinjiang Agric Sci, 2023(7): 1773-1779. | |
| [20] | 吴旭艳, 李行善, 崔传斌, 等. 烟草赤星病多功能生防菌株的筛选及菌群构建优化 [J]. 农业生物技术学报, 2025, 33(3): 628-641. |
| Wu XY, Li XS, Cui CB, et al. Screening, construction and optimization of microbial communities for multifunctional biocontrol of tobacco brown spot [J]. J Agric Biotechnol, 2025, 33(3): 628-641. | |
| [21] | Mohammadi A, Shojaosadati SA, Tehrani HJ, et al. Schizophyllan production by newly isolated fungus Schizophyllum commune IBRC-M 30213: optimization of culture medium using response surface methodology [J]. Ann Microbiol, 2018, 68(1): 47-62. |
| [22] | 郭渊, 李韵雅, 江威, 等. 一株高效解磷肠膜明串珠菌的分离鉴定及解磷能力研究 [J]. 微生物学通报, 2018, 45(10): 2131-2141. |
| Guo Y, Li YY, Jiang W, et al. Isolation and identification of a phosphate solubilizing bacterium Leuconostoc mesenteroides and its ability to dissolve phosphorus [J]. Microbiol China, 2018, 45(10): 2131-2141. | |
| [23] | 许睿娉. 枯草芽孢杆菌HG——15菌体发酵全可溶培养基配方与条件优化 [D]. 泰安: 山东农业大学, 2020. |
| Xu RP. Optimization of fermentation conditions and the formulation of fully soluble medium for bacillus subtilis HG-15 [D]. Tai’an: Shandong Agricultural University, 2020. | |
| [24] | 朱海云, 马瑜, 柯杨, 等. 抗猕猴桃细菌性溃疡病蜡样芽孢杆菌MA23培养基及发酵条件优化 [J]. 中国农学通报, 2021, 37(7): 112-118. |
| Zhu HY, Ma Y, Ke Y, et al. Optimization of culture medium and fermentation parameters of Bacillus cereus MA23 antagonistic to kiwifruit canker [J]. Chin Agric Sci Bull, 2021, 37(7): 112-118. | |
| [25] | Doni F, Suhaimi NSM, Irawan B, et al. Associations of Pantoea with rice plants: as friends or foes? [J]. Agriculture, 2021, 11(12): 1278. |
| [26] | Goswami D, Pithwa S, Dhandhukia P, et al. Delineating Kocuria turfanensis 2M4 as a credible PGPR: a novel IAA-producing bacteria isolated from saline desert [J]. J Plant Interact, 2014, 9(1): 566-576. |
| [27] | 周静, 黄文茂, 秦利军, 等. 四株PGPR菌株混菌发酵体系的构建及促生效应评价 [J]. 生物技术通报, 2021, 37(4): 116-126. |
| Zhou J, Huang WM, Qin LJ, et al. Construction of mixed fermentation system of four PGPR strains and evaluation of its promoting effect [J]. Biotechnol Bull, 2021, 37(4): 116-126. | |
| [28] | 刘佳欣, 张会龙, 邹荣松, 等. 不同类型盐生植物适应盐胁迫的生理生长机制及Na+逆向转运研究进展 [J]. 生物技术通报, 2023, 39(1): 59-71. |
| Liu JX, Zhang HL, Zou RS, et al. Esearch progress in Na+ antiport and physiological growth mechanisms of differernt halophytes adapted to salt stress [J]. Biotechnol Bull, 2023, 39(1): 59-71. | |
| [29] | 赵忠娟, 杨凯, 扈进冬, 等. 盐胁迫条件下哈茨木霉ST02对椒样薄荷生长及根区土壤理化性质的影响 [J]. 生物技术通报, 2022, 38(7): 224-235. |
| Zhao ZJ, Yang K, Hu JD, et al. Effects of Trichoderma harzianum ST02 on the growth of peppermintand physicochemical properties of root zone soil under salt stress [J]. Biotechnol Bull, 2022, 38(7): 224-235. | |
| [30] | 杨海霞, 刘希旻, 潘奕臣, 等. 耐盐碱溶磷菌Y2R2的分离鉴定及溶磷特性 [J]. 生物技术通报, 2020, 36(10): 127-134. |
| Yang HX, Liu XM, Pan YC, et al. Isolation, identification and characterization of salt-alkali-tolerant and phosphorus-dissolving bacterium Y2R2 [J]. Biotechnol Bull, 2020, 36(10): 127-134. | |
| [31] | 乔富博, 陈静, 刘显军, 等. 益生菌发酵饲料在畜禽生产中的研究进展 [J]. 饲料工业, 2025, 46(3): 26-32. |
| Qiao FB, Chen J, Liu XJ, et al. Progress of probiotic fermented feed in livestock and poultry production [J]. Feed Ind, 2025, 46(3): 26-32. | |
| [32] | 徐妙云, 邢利娟, 杨明雨, 等. 高直链淀粉禾谷类作物种质创新与利用研究进展 [J]. 生物技术通报, 2022, 38(4): 20-28. |
| Xu MY, Xing LJ, Yang MY, et al. Research progress in germplasm innovation and utilization of high-amylose cereal crops [J]. Biotechnol Bull, 2022, 38(4): 20-28. | |
| [33] | 唐晨旻, 张劲松, 刘艳芳, 等. pH对灵芝液态发酵代谢物及抗氧化活性的影响 [J]. 菌物学报, 2023, 42(2): 570-583. |
| Tang CM, Zhang JS, Liu YF, et al. Effects of pH on metabolites and antioxidant activities of Ganoderma lingzhi liquid fermentation [J]. Mycosystema, 2023, 42(2): 570-583. | |
| [34] | 任鑫茹, 赵宏璐, 李雅静, 等. 混菌低温发酵对玉米秸秆黄贮饲料品质的影响 [J]. 生物技术通报, 2025, 41(3): 330-342. |
| Ren XR, Zhao HL, Li YJ, et al. Impact of low-temperature fermentation with mixed microbial agent on the quality of corn straw yellow silage feeds [J]. Biotechnol Bull, 2025, 41(3): 330-342. | |
| [35] | 李凤娟, 张化朋, 张颜廷, 等. 植物乳植杆菌LP0126的分离鉴定与安全性研究 [J]. 中国食品添加剂, 2024, 35(5): 46-56. |
| Li FJ, Zhang HP, Zhang YT, et al. Isolation, identification and safety assessment of Lactobacillus plantarum LP0126 [J]. China Food Addit, 2024, 35(5): 46-56. | |
| [36] | 张全国, 孙堂磊, 荆艳艳, 等. 玉米秸秆酶解上清液厌氧发酵产氢工艺优化 [J]. 农业工程学报, 2016, 32(5): 233-238. |
| Zhang QG, Sun TL, Jing YY, et al. Process optimization of bio-hydrogen production by anaerobic fermentation of enzymatic hydrolysate supernatants of corn stalk [J]. Trans Chin Soc Agric Eng, 2016, 32(5): 233-238. |
| [1] | SU Chang, WEN Feng, WANG Ye-lin, SHAO Rui-ying, TANG Jia-jie, XIA Zhan-feng. Fermentation Optimization of a Surfactin-producing Bacillus Strain and Its Application in Prevention and Control [J]. Biotechnology Bulletin, 2026, 42(4): 332-344. |
| [2] | LUO Ming-kai, ZHANG Hao-jie, SHI Hui-qin, LI Ya-nan, FENG Rui-chao, SHEN Shuo. Isolation and Identification of Biocontrol Bacteria for Potato Anthracnose in Three Strains and Optimization of Fermentation Parameters for Cultures with High Antibacterial Activity [J]. Biotechnology Bulletin, 2025, 41(12): 313-327. |
| [3] | LIANG Ying-yi, ZHAO An-su, WANG Rui-xi, SHEN Tian-hong, MA Xin-rong, WANG Min, LUO Jian-mei. Mining and Analysis of Proteins Associated with Neoxanthin Biosynthesis in Chlamydomonas reinhardtii [J]. Biotechnology Bulletin, 2025, 41(11): 190-200. |
| [4] | TU Xiao-yuan, CHU Lu-lu, WANG Mian, CHEN Bing-zhi, JIANG Yu-ji. Extraction of Polysaccharide from Hericium corallinum and Analysis on Its in vitro Antioxidant Activity [J]. Biotechnology Bulletin, 2023, 39(12): 276-286. |
| [5] | LIU Xue-dan, YANG Meng, ZHANG Jing, ZHAO Dong-xu. Effects of Glucose-xylose Co-utilization on the Synthesis of D-1,2,4-Butanetriol by Recombinant Escherichia coli [J]. Biotechnology Bulletin, 2021, 37(9): 171-179. |
| [6] | ZHANG Mei-jun, WU Qing, YIN Cui, WANG Ni, MA Xiao-qing, MA Xiao-xia, CAO Yun-e. Screening and Identification of an Antagonistic Strain Against Fusarium oxyporum f. sp. cucumerinum and Optimization of Culture Conditions [J]. Biotechnology Bulletin, 2020, 36(9): 125-136. |
| [7] | LUO Su-ya, ZHENG Dou-dou, HE Guang-zheng, ZHANG Lin-lin, XU Shu-jing, JU Jian-song. Optimization of Catalytic Reaction Conditions for L-proline 4-Hydroxylase Using Response Surface Methodology [J]. Biotechnology Bulletin, 2020, 36(6): 157-164. |
| [8] | WU Yi, MA Hong-fei, CAO Yong-jia, SI Jing, CUI Bao-kai. Medium Optimization for the Laccase Production by White Rot Fungus Porodaedalea laricis and Its Dye Decolorizing Capacity [J]. Biotechnology Bulletin, 2020, 36(1): 45-59. |
| [9] | YANG Sheng-nan, LIU Na, SONG Dong-hui. Optimization of Chromium(VI)Removal by Mixture of Bacteria-microalgae and Determination of Chromium(VI)Reductase Activities [J]. Biotechnology Bulletin, 2019, 35(9): 83-92. |
| [10] | WANG Yu-jie, WANG Xiang-jun. Optimizing the Adsorption of Pb2+ on Modified Banana Peel Based on Response Surface Methodology [J]. Biotechnology Bulletin, 2019, 35(4): 188-194. |
| [11] | MA Jin-jin, GE Bei-bei, SHI Li-ming, LIU Bing-hua, WEI Qiu-he, ZHANG Ke-cheng. Optimization of Fermentation Medium for Streptomyces roseoflavus NKZ-259 [J]. Biotechnology Bulletin, 2019, 35(2): 85-92. |
| [12] | GUO Xue-wu, ZHANG Yu, GUAN Xiang-yu, NI Xiao-feng, WANG Qing, CHEN Ye-fu, XIAO Dong-guang. Transcriptomics Analysis of High-xylose-tolerance Klebsiella pneumonia Strain and Optimization of Fermentation Conditions for 2,3-butanediol Production [J]. Biotechnology Bulletin, 2018, 34(8): 159-169. |
| [13] | MA Hong-fei, CUI Bao-kai, YUAN Yuan, CHEN Yuan-yuan, DAI Yu-cheng, SI Jing. Optimization of Liquid Medium Composition for the Production of Cellulase from Brown Rot Fungus Antrodia bambusicola by Response Surface Methodology [J]. Biotechnology Bulletin, 2018, 34(4): 91-101. |
| [14] | Lü Fan-yang, XU Ze-hua, MAO Xiao-jie, SUN Jian-guang. Isolation and Identification of an Imazethapyr-degrading Bacterium,and Optimization of Biodegradation Conditions [J]. Biotechnology Bulletin, 2017, 33(10): 163-168. |
| [15] | WANG Wei-lan CHEN Kai-xu LIU Jun DUAN Wei-wei XU Ya-nan ZHANG Fu-chun. Antitumor Activity of the Ethanol Extract of Pleurotus ferulae and the Extraction Procedure of Triterpenoid Components [J]. Biotechnology Bulletin, 2016, 32(7): 206-216. |
| Viewed | ||||||
|
Full text |
|
|||||
|
Abstract |
|
|||||