Biotechnology Bulletin ›› 2025, Vol. 41 ›› Issue (7): 164-171.doi: 10.13560/j.cnki.biotech.bull.1985.2025-0150
Previous Articles Next Articles
WANG Yue-chen1(
), HAN Xin-qi1, WEI Wen-min1, CUI Zhao-lan1, LUO Yang-mei1, CHEN Peng-ru1, WANG Hai-gang2, LIU long-long2, ZHANG Li1(
), WANG Lun2(
)
Received:2025-02-14
Online:2025-07-26
Published:2025-07-22
Contact:
ZHANG Li, WANG Lun
E-mail:2756309376@qq.com;zhangli7912@163.com;wanglun976pzs@sina.com
WANG Yue-chen, HAN Xin-qi, WEI Wen-min, CUI Zhao-lan, LUO Yang-mei, CHEN Peng-ru, WANG Hai-gang, LIU long-long, ZHANG Li, WANG Lun. Biological Basis Study for Grain Shattering in Proso Millet and Identification of Genes Regulating Grain Shattering[J]. Biotechnology Bulletin, 2025, 41(7): 164-171.
基因名称 Gene name | 基因编号 Gene ID | 编码蛋白 Protein name | 黍稷同源基因1 Homologous gene 1 | 黍稷同源基因2 Homologous gene 2 |
|---|---|---|---|---|
| qSH1 | Os01g0848400 | BEL1型同源异型蛋白 | PM13G13360 | PM07G28580 |
| OsSh1 | Os03g0650000 | YABBY转录因子 | PM01G33800 | PM02G06310 |
| sh4/SHA1 | Os04g0670900 | MYB转录因子 | PM16G23590 | PM15G25020 |
| SHAT1 | Os04g0649100 | AP2转录因子 | PM16G22000 | PM15G23430 |
| SH5 | Os05g0455200 | BELI型同源异型蛋白 | PM05G36060 | PM06G19790 |
| OsCPL1 | Os07g0207700 | CTD磷酸化酶 | PM15G01070 | PM16G00940 |
Table 1 Grain shattering genes in rice (Oryza sativa) and proso millet (Panicum miliaceum)
基因名称 Gene name | 基因编号 Gene ID | 编码蛋白 Protein name | 黍稷同源基因1 Homologous gene 1 | 黍稷同源基因2 Homologous gene 2 |
|---|---|---|---|---|
| qSH1 | Os01g0848400 | BEL1型同源异型蛋白 | PM13G13360 | PM07G28580 |
| OsSh1 | Os03g0650000 | YABBY转录因子 | PM01G33800 | PM02G06310 |
| sh4/SHA1 | Os04g0670900 | MYB转录因子 | PM16G23590 | PM15G25020 |
| SHAT1 | Os04g0649100 | AP2转录因子 | PM16G22000 | PM15G23430 |
| SH5 | Os05g0455200 | BELI型同源异型蛋白 | PM05G36060 | PM06G19790 |
| OsCPL1 | Os07g0207700 | CTD磷酸化酶 | PM15G01070 | PM16G00940 |
Fig. 1 Histological observation of the abscission zone of 'Yemizi' and 'Hongnianmi'A: Mature spikelet of 'Yemizi'. B: Paraffin section of 'Yemizi' spikelet. C: Mature spikelet of 'Hongnianmi'. D: Paraffin section of 'Hongnianmi' spikelet
基因名称 Gene name | 基因编号 Gene ID | ‘0390’染色体位置 Chromosome location in ‘0390’ | ‘晋黍7号’染色体位置 Chromosome location in ‘Jinsu7’ | ‘隆糜4号’染色体位置 Chromosome location in ‘Longmei4’ |
|---|---|---|---|---|
| PmSH5-1 | PM05G36060 | 05G | 3B | Chr03 |
| PmSH5-2 | PM06G19790 | 06G | 3A | Chr10 |
| PmqSH1-1 | PM07G28580 | 07G | 5B | Chr05 |
| PmqSH1-2 | PM13G13360 | 13G | 5A | Chr08 |
| PmSh1-1 | PM01G33800 | 01G | 9B | Chr01 |
| PmSh1-2 | PM02G06310 | 02G | 9A | Chr04 |
| PmCPL1-1 | PM15G01070 | 15G | 7B | Chr14 |
| PmCPL1-2 | PM16G00940 | 16G | 7A | Chr15 |
| PmSHAT1-1 | PM15G23430 | 15G | 7B | Chr14 |
| PmSHAT1-2 | PM16G22000 | 16G | 7A | Chr15 |
| Pmsh4/SHA1-1 | PM15G25020 | 15G | 7B | Chr14 |
| Pmsh4/SHA1-2 | PM16G23590 | 16G | 7A | Chr15 |
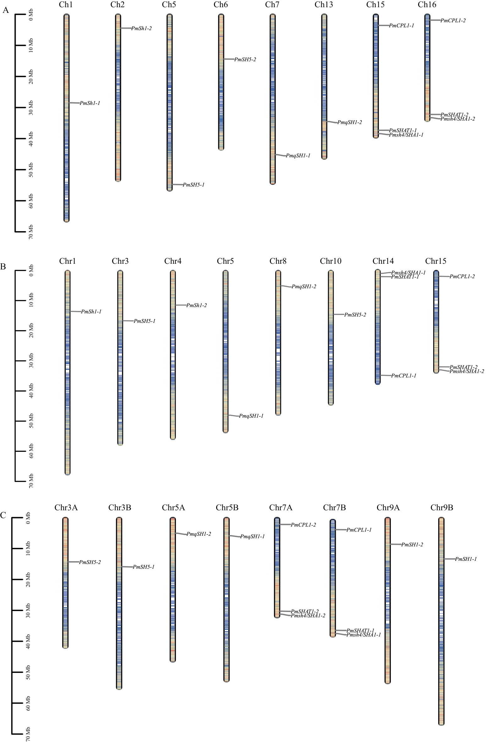
Table 2 Chromosome location of homologous grain shattering genes in proso millet
基因名称 Gene name | 基因编号 Gene ID | ‘0390’染色体位置 Chromosome location in ‘0390’ | ‘晋黍7号’染色体位置 Chromosome location in ‘Jinsu7’ | ‘隆糜4号’染色体位置 Chromosome location in ‘Longmei4’ |
|---|---|---|---|---|
| PmSH5-1 | PM05G36060 | 05G | 3B | Chr03 |
| PmSH5-2 | PM06G19790 | 06G | 3A | Chr10 |
| PmqSH1-1 | PM07G28580 | 07G | 5B | Chr05 |
| PmqSH1-2 | PM13G13360 | 13G | 5A | Chr08 |
| PmSh1-1 | PM01G33800 | 01G | 9B | Chr01 |
| PmSh1-2 | PM02G06310 | 02G | 9A | Chr04 |
| PmCPL1-1 | PM15G01070 | 15G | 7B | Chr14 |
| PmCPL1-2 | PM16G00940 | 16G | 7A | Chr15 |
| PmSHAT1-1 | PM15G23430 | 15G | 7B | Chr14 |
| PmSHAT1-2 | PM16G22000 | 16G | 7A | Chr15 |
| Pmsh4/SHA1-1 | PM15G25020 | 15G | 7B | Chr14 |
| Pmsh4/SHA1-2 | PM16G23590 | 16G | 7A | Chr15 |
Fig. 4 Heat-map showing the tissue-specific expressions of homologous grain shattering genes in proso milletOrange-red indicates up-regulated expression, blue indicates down-regulated, and expression difference greater than 2 times is considered significant. GFS1 refers to 1 d after flowering, GFS20 refers to 20 d after flowering, GFS35 refers to 35 d after flowering
| [1] | 王星玉, 王纶, 温琪汾. 黍稷的名实考证及规范 [J]. 植物遗传资源学报, 2010, 11(2): 132-138. |
| Wang XY, Wang L, Wen QF. Textual research and standardization of Chinese Name of broomcorn millet [J]. J Plant Genet Resour, 2010, 11(2): 132-138. | |
| [2] | Lu HY, Zhang JP, Liu KB, et al. Earliest domestication of common millet (Panicum miliaceum) in East Asia extended to 10, 000 years ago [J]. Proc Natl Acad Sci USA, 2009, 106(18): 7367-7372. |
| [3] | 王纶, 王星玉. 中国黍稷种质资源研究 [M]. 北京: 中国农业科学技术出版社, 2018. |
| Wang L, Wang XY. Study on millet germplasm resources in China [M]. Beijing: China Agricultural Science and Technology Press, 2018. | |
| [4] | 刘敏轩, 许月, 陆平. 中国野生黍稷资源收集保存与遗传多样性研究进展 [J]. 植物遗传资源学报, 2020, 21(6): 1435-1445. |
| Liu MX, Xu Y, Lu P. Advances in germplasm collection and genetic diversity research of wild broomcorn millet in China [J]. J Plant Genet Resour, 2020, 21(6): 1435-1445. | |
| [5] | 苏占明, 李海, 皇甫红芳. 黍稷的营养成分与保健功效及种植建议 [J]. 种业导刊, 2020(4): 31-34. |
| Su ZM, Li H, Huangfu HF. Nutritional components, health care effects and planting suggestions of millet [J]. J Seed Ind Guide, 2020(4): 31-34. | |
| [6] | 李新月, 董燕, 李颖, 等. 五谷为养之黍米历史溯源与功能考证 [J]. 中国食品药品监管, 2022(8): 118-125. |
| Li XY, Dong Y, Li Y, et al. Historical traceability and functional research of broomcorn millet as a grain for raising [J]. China Food Drug Adm Mag, 2022(8): 118-125. | |
| [7] | 王纶, 王星玉, 温琪汾. 黍稷种质资源繁殖更新技术 [J]. 山西农业科学, 2012, 40(3): 227-232, 240. |
| Wang L, Wang XY, Wen QF. Regeneration and renew technical specification of broomcorn millet germplasm resources [J]. J Shanxi Agric Sci, 2012, 40(3): 227-232, 240. | |
| [8] | 谢文刚, 万依阳, 张宗瑜, 等. 禾本科植物落粒机理研究进展 [J]. 草业学报, 2021, 30(8): 186-198. |
| Xie WG, Wan YY, Zhang ZY, et al. Research progress on the seed-shattering mechanism of Poaceae plants [J]. Acta Prataculturae Sin, 2021, 30(8): 186-198. | |
| [9] | Maity A, Lamichaney A, Joshi DC, et al. Seed shattering: a trait of evolutionary importance in plants [J]. Front Plant Sci, 2021, 12: 657773. |
| [10] | Yu YQ, Hu H, Doust AN, et al. Divergent gene expression networks underlie morphological diversity of abscission zones in grasses [J]. New Phytol, 2020, 225(4): 1799-1815. |
| [11] | Yu YQ, Kellogg EA. Multifaceted mechanisms controlling grain disarticulation in the Poaceae [J]. Curr Opin Plant Biol, 2024, 81: 102564. |
| [12] | Parker TA, Lo S, Gepts P. Pod shattering in grain legumes: emerging genetic and environment-related patterns [J]. Plant Cell, 2021, 33(2): 179-199. |
| [13] | Yu YQ, Beyene G, Villmer J, et al. Grain shattering by cell death and fracture in Eragrostis tef [J]. Plant Physiol, 2023, 192(1): 222-239. |
| [14] | Ning J, He W, Wu LH, et al. The MYB transcription factor Seed Shattering 11 controls seed shattering by repressing lignin synthesis in African rice [J]. Plant Biotechnol J, 2023, 21(5): 931-942. |
| [15] | Wu H, He Q, He B, et al. Gibberellin signaling regulates lignin biosynthesis to modulate rice seed shattering [J]. Plant Cell, 2023, 35(12): 4383-4404. |
| [16] | Jiang LY, Ma X, Zhao SS, et al. The APETALA2-like transcription factor SUPERNUMERARY BRACT controls rice seed shattering and seed size [J]. Plant Cell, 2019, 31(1): 17-36. |
| [17] | Hofmann NR. SHAT1, A new player in seed shattering of rice [J]. Plant Cell, 2012, 24(3): 839. |
| [18] | Zhang YL, Xia QY, Jiang XQ, et al. Reducing seed shattering in weedy rice by editing SH4 and qSH1 genes: implications in environmental biosafety and weed control through transgene mitigation [J]. Biology, 2022, 11(12): 1823. |
| [19] | Wu H, He Q, Wang Q. Advances in rice seed shattering [J]. Int J Mol Sci, 2023, 24(10): 8889. |
| [20] | 吕树伟, 唐璇, 李晨. 水稻落粒性研究进展 [J]. 中国农业科学, 2025, 58(1): 1-9. |
| Lü SW, Tang X, Li C. Research progress on seed shattering of rice [J]. Sci Agric Sin, 2025, 58(1): 1-9. | |
| [21] | 王星玉, 王纶. 黍稷种质资源描述规范和数据标准 [M]. 北京: 中国农业出版社, 2006. |
| Wang XY, Wang L. Descriptors and data standard for broomcorn millet (Panicum miliaceum L.) [M]. Beijing: China Agriculture Press, 2006. | |
| [22] | Hodge JG, Kellogg EA. Abscission zone development in Setaria viridis and its domesticated relative, Setaria italica [J]. Am J Bot, 2016, 103(6): 998-1005. |
| [23] | Ishikawa R, Castillo CC, Htun TM, et al. A stepwise route to domesticate rice by controlling seed shattering and panicle shape [J]. Proc Natl Acad Sci USA, 2022, 119(26): e2121692119. |
| [24] | 张兰. 小麦落粒性与产量性状相关基因功能鉴定 [D]. 北京: 中国农业科学院, 2013. |
| Zhang L. Functional identification of genes related to grain dropping and yield traits in wheat [D]. Beijing: Chinese Academy of Agricultural Sciences, 2013. | |
| [25] | Liu HQ, Fang XJ, Zhou LN, et al. Transposon insertion drove the loss of natural seed shattering during foxtail millet domestication [J]. Mol Biol Evol, 2022, 39(6): msac078. |
| [26] | Lin ZW, Li XR, Shannon LM, et al. Parallel domestication of the Shattering1 genes in cereals [J]. Nat Genet, 2012, 44(6): 720-724. |
| [27] | Yu YQ, Hu H, Voytas DF, et al. The YABBY gene SHATTERING1 controls activation rather than patterning of the abscission zone in Setaria viridis [J]. New Phytol, 2023, 240(2): 846-862. |
| [28] | Ishikawa R. Genetic dissection of a reduced seed-shattering trait acquired in rice domestication [J]. Breed Sci, 2024, 74(4): 285-294. |
| [29] | Shi JP, Ma XX, Zhang JH, et al. Chromosome conformation capture resolved near complete genome assembly of broomcorn millet [J]. Nat Commun, 2019, 10(1): 464. |
| [30] | Zou CS, Li LT, Miki D, et al. The genome of broomcorn millet [J]. Nat Commun, 2019, 10: 436. |
| [31] | Sun YL, Liu Y, Shi JF, et al. Biased mutations and gene losses underlying diploidization of the tetraploid broomcorn millet genome [J]. Plant J, 2023, 113(4): 787-801. |
| [32] | Lu Q, Zhao HN, Zhang ZQ, et al. Genomic variation in weedy and cultivated broomcorn millet accessions uncovers the genetic architecture of agronomic traits [J]. Nat Genet, 2024, 56(5): 1006-1017. |
| [1] | LUO Ji-lin, LI Jin-ye, JIA Yu-xin. Identification and Functional Analysis of Gravity Response Regulatory Genes in Potato [J]. Biotechnology Bulletin, 2025, 41(6): 109-118. |
| [2] | GAO Meng-meng, ZHAO Tian-yu, JIAO Xin-yue, LIN Chun-jing, GUAN Zhe-yun, DING Xiao-yang, SUN Yan-yan, ZHANG Chun-bao. Comparative Transcriptome Analysis of Cytoplasmic Male Sterile Line and Its Restorer Line in Soybean [J]. Biotechnology Bulletin, 2024, 40(7): 137-149. |
| [3] | BAI Zhi-yuan, XU Fei, YANG Wu, WANG Ming-gui, YANG Yu-hua, ZHANG Hai-ping, ZHANG Rui-jun. Transcriptome Analysis of Fertility Transformation in Weakly Restoring Hybrid F1 of Soybean Cytoplasmic Male Sterility [J]. Biotechnology Bulletin, 2024, 40(6): 134-142. |
| [4] | YANG Qi, WEI Zi-di, SONG Juan, TONG Kun, YANG Liu, WANG Jia-han, LIU Hai-yan, LUAN Wei-jiang, MA Xuan. Construction and Transcriptomic Analysis of Rice Histone H1 Triple Mutant [J]. Biotechnology Bulletin, 2024, 40(4): 85-96. |
| [5] | XIONG He-li, SHA Qian, LIU Shao-na, XIANG De-cai, ZHANG Bin, ZHAO Zhi-yong. Application of Single-cell Transcriptome Sequencing in Animals [J]. Biotechnology Bulletin, 2022, 38(3): 226-233. |
| [6] | KOU Jia-yi, WANG Yu-ling, ZENG Rui-lin, LAN Dao-liang. Application of Single-cell Transcriptome Sequencing in Mammalian [J]. Biotechnology Bulletin, 2022, 38(11): 41-48. |
| [7] | CHEN Jian-jun, ZHAO Yi-di, CAO Xiang-lin. Comprehensive Transcriptome Analysis of Intestinal Epithelial Cells of Cyprinus carpio Exposed to Lipopolysaccharide [J]. Biotechnology Bulletin, 2021, 37(8): 213-220. |
| [8] | MA Yan-jun, DUAN Hui-rong, WEI Jia, RICHARD John Tiika, SHAN Li-shan, MA Rui. Transcriptome Sequencing Analysis of Lycium ruthenicum Murr. Under NaCl Stress [J]. Biotechnology Bulletin, 2020, 36(2): 100-109. |
| [9] | ZHAO Yang-yang, GUO Yu-xiao, ZHANG Ling-yun. Transcriptome Sequencing and Analysis of Xanthoceras sorbifolia Bunge Fruit [J]. Biotechnology Bulletin, 2019, 35(6): 24-31. |
| [10] | ZHANG Zhao-yang, PANG Jun-ling, HAN Mei, LENG Peng-fei, ZHAO Jun. Characterization of the Salt Tolerance of Transgenic Maize Line Expressing ABP9 [J]. Biotechnology Bulletin, 2019, 35(5): 48-57. |
| [11] | GENG Hui-jun, ZOU Wei, CUI Hui-jing, LI Xiao-yu, WANG Li-li, XU Yong-ping. Safety Evaluation of Staphylococcus aureus Bacteriophage Based on Transcriptome [J]. Biotechnology Bulletin, 2019, 35(12): 64-75. |
| [12] | LIU Si-jia, TIAN Fei, ZHANG Cun-fang, QIAO Zhi-gang, ZHAO Kai. Transcriptome Sequencing and Analysis of Hepatopancreas from Carps Under Cold Stress [J]. Biotechnology Bulletin, 2018, 34(11): 168-178. |
| [13] | LIU Wen-rong ,DING Ruo-fan, ZHANG Yi-ming ,LI Yu-peng, LI Ling ,GUO Zhi-yun. Transcriptome Sequencing Analysis of Hepatocellular Carcinoma HepG2 Cells Induced by Antitumor Peptide 9R-P201 [J]. Biotechnology Bulletin, 2017, 33(7): 210-215. |
| [14] | LUO Yan,LIU Xiao-gang,ZHOU Zhi-qin. Research Progress on Methods for Isolating the Gene of Plant Glycosyltransferase,and Its Biological Functions [J]. Biotechnology Bulletin, 2016, 32(12): 34-39. |
| Viewed | ||||||
|
Full text |
|
|||||
|
Abstract |
|
|||||