生物技术通报 ›› 2026, Vol. 42 ›› Issue (2): 188-196.doi: 10.13560/j.cnki.biotech.bull.1985.2025-0984
何启露1(
), 田卓1, 邓静1, 李俊杨2, 杨汶霖1, 刘湘1, 余秀梅1(
)
收稿日期:2025-09-12
出版日期:2026-02-26
发布日期:2026-03-17
通讯作者:
余秀梅,女,博士,教授,研究方向 :土壤质量提升与微生物资源利用;E-mail: xiumeiyu@sicau.edu.cn作者简介:何启露,女,硕士研究生,研究方向 :土壤学;E-mail: 1766277595@qq.com
基金资助:
HE Qi-lu1(
), TIAN Zhuo1, DENG Jing1, LI Jun-yang2, YANG Wen-lin1, LIU Xiang1, YU Xiu-mei1(
)
Received:2025-09-12
Published:2026-02-26
Online:2026-03-17
摘要:
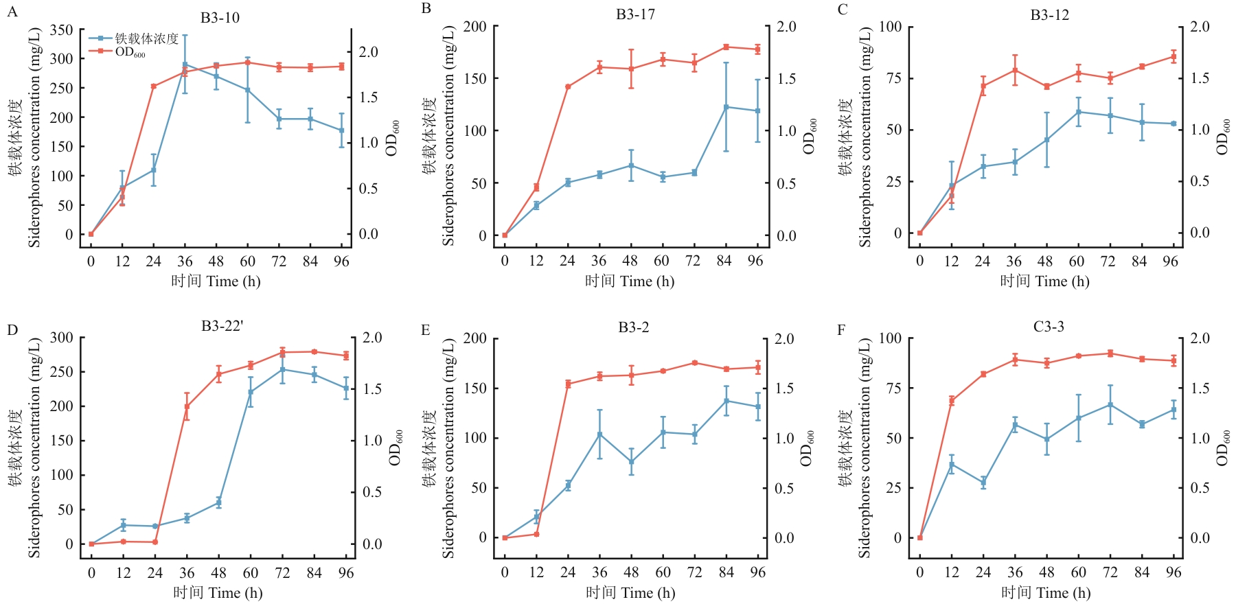
目的 石灰性土壤铁(Fe)有效性低导致植物缺Fe问题突出。细菌分泌的铁载体可螯合土壤中的Fe,促进植物吸收Fe,产铁载体细菌是否能缓解石灰性紫色土壤中花生(Arachis hypogaea L.)缺铁问题需要探明。 方法 利用CAS(Chrome Azurol S)平板分离产铁载体细菌,通过16S rRNA基因测序鉴定细菌,测试细菌产铁载体最佳培养时间、酸碱抗性及酸碱胁迫下产铁载体能力,并将耐碱高产铁载体菌株接种到石灰性紫色土壤大田中的花生根周围,测定其对花生Fe含量、光合作用、生长、生物量的影响。 结果 从石灰性紫色土壤中分离到6株产铁载体细菌,产铁载体峰值和对应的培养时间各不相同。筛选出耐碱且高产铁载体细菌为假单胞菌(Pseudomonas sp.)B3-10和B3-2、贪铜菌(Cupriavidus sp.)B3-22',其产铁载体的峰值分别为290.2、137.5、253.5 mg/L,在碱性(pH 8)条件下产铁载体的浓度分别为120.1、66.4和86.4 mg/L,说明碱性环境对细菌产铁载体有抑制作用。在石灰性紫色土壤大田中,3株产铁载体细菌可不同程度地促进花生生长,使花生植株地下部Fe含量、叶片光合作用强度、花生产量分别增加69.4%-155.3%、9.6%-11.9%、27.5%-52.9%,其中B3-10使花生地下部和地上部Fe含量、地下部和地上部干重分别增加155.3%和18.8%、62.1%和48.1%。 结论 石灰性紫色土壤中含有产铁载体能力的细菌,但碱性条件可抑制细菌产铁载体,筛选得到兼具耐碱和高产铁载体的假单胞菌B3-10对花生的促Fe增产作用显著,是改善石灰性土壤花生缺Fe症状的良好菌株,为进一步利用产铁载体细菌改良石灰性紫色土壤Fe有效性低的问题提供理论依据和菌株资源。
何启露, 田卓, 邓静, 李俊杨, 杨汶霖, 刘湘, 余秀梅. 产铁载体细菌对石灰性紫色土壤中花生的影响[J]. 生物技术通报, 2026, 42(2): 188-196.
HE Qi-lu, TIAN Zhuo, DENG Jing, LI Jun-yang, YANG Wen-lin, LIU Xiang, YU Xiu-mei. Effect of Siderophore-producing Bacteria on Peanut in the Calcareous Purple Soil[J]. Biotechnology Bulletin, 2026, 42(2): 188-196.
图1 产铁载体细菌的系统发育树括号中的数字表示序列在GenBank中的登录号
Fig. 1 Phylogenetic tree of siderophore-producing bacteriaThe numbers in parentheses indicate the accession number of the sequence in GenBank
图5 产铁载体细菌对花生植株铁含量及叶绿素相对含量的影响不同小写字母代表显著性差异(P<0.05)
Fig. 5 Effects of siderophore-producing bacteria on iron content and relative chlorophyll content of peanut plantsDifferent lowercase letters indicate significant differences (P<0.05)
处理 Treatment | 根长 Root length (cm) | 株高 Plant height (cm) | 地下部干重 Underground dry weight (g) | 地上部干重 Aboveground dry weight (g) | 产量 Yield (kg/hm2) |
|---|---|---|---|---|---|
| CK | 15.67±6.66a | 42.67±1.61b | 0.87±0.07b | 7.55±0.14b | 3761.25±123.84c |
| B3-10 | 13.27±0.63a | 51.23±1.31a | 1.41±0.41a | 11.18±1.33a | 5692.25±193.12a |
| B3-22' | 14.42±1.59a | 46.08±4.63ab | 1.36±0.21a | 8.60±1.32b | 4794.00±117.20b |
| B3-2 | 15.25±2.38a | 47.08±2.43ab | 1.00±0.13ab | 7.49±1.31b | 5750.25±101.32a |
表1 产铁载体细菌对花生生长的影响
Table 1 Effects of siderophore-producing bacteria on peanut growth
处理 Treatment | 根长 Root length (cm) | 株高 Plant height (cm) | 地下部干重 Underground dry weight (g) | 地上部干重 Aboveground dry weight (g) | 产量 Yield (kg/hm2) |
|---|---|---|---|---|---|
| CK | 15.67±6.66a | 42.67±1.61b | 0.87±0.07b | 7.55±0.14b | 3761.25±123.84c |
| B3-10 | 13.27±0.63a | 51.23±1.31a | 1.41±0.41a | 11.18±1.33a | 5692.25±193.12a |
| B3-22' | 14.42±1.59a | 46.08±4.63ab | 1.36±0.21a | 8.60±1.32b | 4794.00±117.20b |
| B3-2 | 15.25±2.38a | 47.08±2.43ab | 1.00±0.13ab | 7.49±1.31b | 5750.25±101.32a |
| [1] | Barker AV, Pilbeam DJ. Handbook of Plant Nutrition [M]. 2nd Edition. Boca Raton: CRC Press, 2015. |
| [2] | Finazzi G, Petroutsos D, Tomizioli M, et al. Ions channels/transporters and chloroplast regulation [J]. Cell Calcium, 2015, 58(1): 86-97. |
| [3] | Siedow J. Plant lipoxygenase: structure and function [J]. Annu Rev Plant Physiol Plant Mol Biol, 1991, 42: 145-188. |
| [4] | Dixit SP, Rajan L, Palaniswamy D, et al. Importance of iron absorption in human health: an overview [J]. Curr Nutr Food Sci, 2021, 17(3): 293-301. |
| [5] | Rawat N, Neelam K, Tiwari VK, et al. Biofortification of cereals to overcome hidden hunger [J]. Plant Breed, 2013, 132(5): 437-445. |
| [6] | 廖伯寿. 我国花生生产发展现状与潜力分析 [J]. 中国油料作物学报, 2020, 42(2): 161-166. |
| Liao BS. A review on progress and prospects of peanut industry in China [J]. Chin J Oil Crop Sci, 2020, 42(2): 161-166. | |
| [7] | Zhang XW, Dong YJ, Qiu XK, et al. Exogenous nitric oxide alleviates iron-deficiency chlorosis in peanut growing on calcareous soil [J]. Plant Soil Environ, 2012, 58(3): 111-120. |
| [8] | 贾红霞, 刘风珍, 张秀荣, 等. 不同类型铁肥改善花生缺铁效果研究 [J]. 花生学报, 2021, 50(2): 38-43, 63. |
| Jia HX, Liu FZ, Zhang XR, et al. Effect of different types of iron fertilizer on alleviating iron deficiency of peanut [J]. J Peanut Sci, 2021, 50(2): 38-43, 63. | |
| [9] | 孙增光, 汪江涛, 聂良鹏, 等. 花生||芝麻对花生铁营养吸收利用的影响 [J]. 中国生态农业学报: 中英文, 2022, 30(9): 1409-1416. |
| Sun ZG, Wang JT, Nie LP, et al. Effect of peanut||sesame intercropping on iron nutrient absorption and utilization of peanut [J]. Chin J Eco Agric, 2022, 30(9): 1409-1416. | |
| [10] | Singh S, Singh AL, Pal KK, et al. Accumulation of resveratrol, ferulic acid and iron in seeds confer iron deficiency chlorosis tolerance to a novel genetic stock of peanut (Arachis hypogaea L.) grown in calcareous soils [J]. Physiol Mol Biol Plants, 2023, 29(5): 725-737. |
| [11] | Sotomayor C, Ruiz R, Castro J. Growth, yield and iron deficiency tolerance level of six peach rootstocks grown on calcareous soil [J]. Cienc Inv Agr, 2014, 41(3): 25-26. |
| [12] | Buesseler KO, Andrews JE, Pike SM, et al. The effects of iron fertilization on carbon sequestration in the Southern Ocean [J]. Science, 2004, 304(5669): 414-417. |
| [13] | 张文静, 程建峰, 刘婕, 等. 植物铁素(Fe)营养的生理研究进展 [J]. 中国农学通报, 2021, 37(36): 103-110. |
| Zhang WJ, Cheng JF, Liu J, et al. Nutrition physiology of iron (Fe) in plants: research progress [J]. Chin Agric Sci Bull, 2021, 37(36): 103-110. | |
| [14] | Sakin E, Yanardağ İH. The influence of micronized sulfur amendments on the chemical properties of the calcareous soil and wheat growth [J]. J Plant Nutr, 2023, 46(13): 3031-3040. |
| [15] | Chenchouni H, Mekahlia MN, Beddiar A. Effect of inoculation with native and commercial arbuscular mycorrhizal fungi on growth and mycorrhizal colonization of olive (Olea europaea L.) [J]. Sci Hortic, 2020, 261: 108969. |
| [16] | Kobayashi T, Nozoye T, Nishizawa NK. Iron transport and its regulation in plants [J]. Free Radic Biol Med, 2019, 133: 11-20. |
| [17] | Connorton JM, Balk J, Rodríguez-Celma J. Iron homeostasis in plants-a brief overview [J]. Metallomics, 2017, 9(7): 813-823. |
| [18] | Pauline Trapet LA. The Pseudomonas fluorescens siderophore pyoverdine weakens Arabidopsis thaliana defense in favor of growth in iron-deficient conditions [J]. Plant Physiol, 2016, 171(1): 675-693. |
| [19] | Lurthy T, Pivato B, Lemanceau P, et al. Importance of the rhizosphere microbiota in iron biofortification of plants [J]. Front Plant Sci, 2021, 12: 744445. |
| [20] | Pii Y, Penn A, Terzano R, et al. Plant-microorganism-soil interactions influence the Fe availability in the rhizosphere of cucumber plants [J]. Plant Physiol Biochem, 2015, 87: 45-52. |
| [21] | Nagoba B, Vedpathak D. Medical applications of siderophores [J]. Electron J Gen Med, 2011, 8(3): 229-235. |
| [22] | Crosa JH, Walsh CT. Genetics and assembly line enzymology of siderophore biosynthesis in bacteria [J]. Microbiol Mol Biol Rev, 2002, 66(2): 223-249. |
| [23] | 梁惠惠, 冯雪, 高海春. 希瓦氏菌铁稳态及调控的研究进展 [J]. 微生物学通报, 2020, 47(10): 3305-3317. |
| Liang HH, Feng X, Gao HC. Iron homeostasis and its regulation in Shewanella: a review [J]. Microbiol China, 2020, 47(10): 3305-3317. | |
| [24] | Ferret C, Sterckeman T, Cornu JY, et al. Siderophore-promoted dissolution of smectite by fluorescent Pseudomonas [J]. Environ Microbiol Rep, 2014, 6(5): 459-467. |
| [25] | 葛淼淼, 薄永琳, 刘宸, 等. 土壤产铁载体细菌的筛选及其对铁氧化物的活化与利用 [J]. 微生物学通报, 2023, 50(3): 1062-1072. |
| Ge MM, Bo YL, Liu C, et al. Screening of soil siderophore-producing bacteria and their activation and utilization of iron oxide [J]. Microbiol China, 2023, 50(3): 1062-1072. | |
| [26] | Ahmed E, Holmström SJM. Siderophores in environmental research: roles and applications [J]. Microb Biotechnol, 2014, 7(3): 196-208. |
| [27] | Abiraami TV, Suman A, Singh B, et al. Radiochemical evidence for the contribution of chemotyped siderophore producing bacteria towards plant iron nutrition [J]. Curr Microbiol, 2021, 78(12): 4072-4083. |
| [28] | 彭海英, 邵雅东, 栗晗, 等. 根际溶铁细菌与AM真菌协同提高石灰性土壤铁有效性的机制研究 [J]. 土壤学报, 2024, 61(4): 1111-1122. |
| Peng HY, Shao YD, Li H, et al. Study on the mechanism of increased iron availability by rhizosphere iron-solubilizing bacteria in combination with AM fungi in calcareous soil [J]. Acta Pedol Sin, 2024, 61(4): 1111-1122. | |
| [29] | Schwyn B, Neilands JB. Universal chemical assay for the detection and determination of siderophores [J]. Anal Biochem, 1987, 160(1): 47-56. |
| [30] | Murugappan RM, Rekha S, Thirumurug R. Characterization and quantification of siderophores produced by Aeromonas hydrophila isolated from Cyprinus carpio . [J]. Pak J Biol Sci, 2006, 9(3): 437-440. |
| [31] | Kumar S, Stecher G, Li M, et al. MEGA X: molecular evolutionary genetics analysis across computing platforms [J]. Mol Biol Evol, 2018, 35(6): 1547-1549. |
| [32] | 张玲玉, 赵学强, 李家美, 等. 水稻和两种野生植物对酸性硫酸盐土耐性及矿质元素吸收 [J]. 土壤学报, 2020, 57(2): 403-413. |
| Zhang LY, Zhao XQ, Li JM, et al. Comparison of rice plants with two wild plants in tolerance to acid sulfate soil and absorption of mineral elements [J]. Acta Pedol Sin, 2020, 57(2): 403-413. | |
| [33] | Narayanan M, Kumarasamy S, Ranganathan M, et al. Enzyme and metabolites attained in degradation of chemical pesticides β Cypermethrin by Bacillus cereus [J]. Mater Today Proc, 2020, 33: 3640-3645. |
| [34] | Viji AS, Antony BT, Wagh MS, et al. Bioremoval of cadmium by co-cultivated bacterial strains, Bacillus paramycoides and Bacillus subtilis, in a pilot-scale Phyto- and rhizoremediation approach [J]. Int J Environ Sci Technol, 2022, 19(8): 7565-7574. |
| [35] | Li YL, Wei SM, Chen XT, et al. Isolation of cadmium-resistance and siderophore-producing endophytic bacteria and their potential use for soil cadmium remediation [J]. Heliyon, 2023, 9(7): e17661. |
| [36] | Kong ZY, Li T, Glick BR, et al. Priority effects of inoculation timing of plant growth-promoting microbial inoculants: role, mechanisms and perspectives [J]. Plant Soil, 2025, 513(2): 1675-1687. |
| [37] | Ambrosini A, de Souza R, Passaglia LMP. Ecological role of bacterial inoculants and their potential impact on soil microbial diversity [J]. Plant Soil, 2016, 400(1): 193-207. |
| [38] | 王东升, 王立立, 李取生, 等. 产铁载体菌对龙葵修复土壤Cd污染的促进效应 [J]. 环境工程学报, 2018, 12(8): 2311-2319. |
| Wang DS, Wang LL, Li QS, et al. Enhancing effect of siderophore-producting bacteria on remediation of cadmium-contaminated soil by Solanum nigrum L [J]. Chin J Environ Eng, 2018, 12(8): 2311-2319. | |
| [39] | 邹雪峰, 李铭刚, 包玲风, 等. 一株分泌型铁载体真菌分离鉴定及生物活性研究 [J]. 生物技术通报, 2022, 38(3): 130-138. |
| Zou XF, Li MG, Bao LF, et al. Isolation and identification of a secretory siderophore fungus, and its biological activity [J]. Biotechnol Bull, 2022, 38(3): 130-138. | |
| [40] | Kong WL, Wang YH, Lu LX, et al. Rahnella aquatilis JZ-GX1 alleviates iron deficiency chlorosis in Cinnamomum camphora by secreting desferrioxamine and reshaping the soil fungal community [J]. Front Plant Sci, 2022, 13: 960750. |
| [41] | Ghazanfar S, Hussain A, Dar A, et al. Prospects of iron solubilizing Bacillus species for improving growth and iron in maize (Zea mays L.) under axenic conditions [J]. Sci Rep, 2024, 14: 26342. |
| [42] | 孙雨晨, 易欣欣, 王丽伟, 等. 一株百合内生细菌Burkholderia sp. FJb-2的分离鉴定及其体外抑菌促生效应 [J]. 中国土壤与肥料, 2022(4): 229-236. |
| Sun YC, Yi XX, Wang LW, et al. Isolation and identification of an endophytic bacterium Burkholderia sp. FJb-2 from lily and its in vitro antibacterial and growth-promoting effect [J]. Soil Fertil Sci China, 2022(4): 229-236. | |
| [43] | Ahmed MMA, Tripathi SK, Boudreau PD. Comparative metabolomic profiling of Cupriavidus necator B-4383 revealed production of cupriachelin siderophores, one with activity against Cryptococcus neoformans [J]. Front Chem, 2023, 11: 1256962. |
| [44] | Gao BB, Chai XF, Huang YM, et al. Siderophore production in Pseudomonas SP. strain SP3 enhances iron acquisition in apple rootstock [J]. J Appl Microbiol, 2022, 133(2): 720-732. |
| [45] | Sreeramulu RKKV, Suresh M, Subburamu K, et al. Siderophore producing Bacillus spp. and Ochrobactrum grignonense enhance the iron content and yield of groundnut genotypes (Arachis hypogaea L.) in calcareous soils [J]. Arab J Geosci, 2023, 16(11): 624. |
| [1] | 董宇韬, 包慧芳, 何苗, 侯鹏, 李烽, 王之西, 秦瑶, 罗青红. 沙枣根际耐盐促生复合菌剂发酵工艺优化及其促生效果研究[J]. 生物技术通报, 2026, 42(4): 297-309. |
| [2] | 陈登科, 兰刚, 夏芝, 侯保国, 杨六六, 曹彩荣, 李朋波, 吴翠翠. 花生ZF-HD基因家族的鉴定和非生物胁迫响应分析[J]. 生物技术通报, 2026, 42(4): 114-128. |
| [3] | 吴翠翠, 陈登科, 兰刚, 夏芝, 李朋波. 花生转录因子AhHDZ70的生物信息学分析及耐盐耐旱性研究[J]. 生物技术通报, 2026, 42(1): 198-207. |
| [4] | 曾丹, 黄园, 王健, 张艳, 刘庆霞, 谷荣辉, 孙庆文, 陈宏宇. 铁皮石斛bZIP转录因子家族全基因组鉴定及表达分析[J]. 生物技术通报, 2025, 41(8): 197-210. |
| [5] | 张泽, 杨秀丽, 宁东贤. 花生4CL基因家族鉴定及对干旱与盐胁迫响应分析[J]. 生物技术通报, 2025, 41(7): 117-127. |
| [6] | 孙孟雪, 张艺潆, 徐鹏, 孙卓, 王云贺, 韩忠明. 防风内生细菌的分离鉴定及其促生特性分析[J]. 生物技术通报, 2025, 41(7): 299-311. |
| [7] | 于静, 于桂爽, 孙昊杰, 姜春姣, 苑广迪, 杨珍, 王志伟, 王超, 王传堂. 花生种用品质影响因素及相关标记研究[J]. 生物技术通报, 2025, 41(2): 284-294. |
| [8] | 杨涛, 李琳, 莫小连, 陈晓龙, 王健, 黄园, 赵杰宏, 邹颉. 铁皮石斛DoDELLA2的功能研究[J]. 生物技术通报, 2025, 41(12): 240-253. |
| [9] | 薛超, 段爱玲, 王爱玉, 杨媛雪. GSTs在花生蚜对双丙环虫酯解毒代谢中的作用[J]. 生物技术通报, 2025, 41(12): 304-312. |
| [10] | 李庆懋, 彭聪归, 齐笑含, 刘兴蕾, 李臻园, 李沁妍, 黄立钰. 促进水稻铁素吸收的野生稻内生细菌优良菌株的筛选与鉴定[J]. 生物技术通报, 2024, 40(8): 255-263. |
| [11] | 李兴容, 谭志兵, 赵燕, 李曜魁, 赵炳然, 唐丽. 水稻低亲和性阳离子转运蛋白基因OsLCT3的克隆与功能研究[J]. 生物技术通报, 2024, 40(4): 97-109. |
| [12] | 江林琪, 赵佳莹, 郑飞雄, 姚馨怡, 李效贤, 俞振明. 铁皮石斛14-3-3基因家族鉴定及表达分析[J]. 生物技术通报, 2024, 40(3): 229-241. |
| [13] | 徐扬, 张瑞英, 戴良香, 张冠初, 丁红, 张智猛. 盐胁迫下氮素对花生种子萌发和种子际细菌菌群结构的调控[J]. 生物技术通报, 2024, 40(2): 253-265. |
| [14] | 田姗姗, 黄诗宇, 杨天为, 高曼熔, 张尚文, 何龙飞, 张向军, 李婷, 石前. 高温干旱复合胁迫下铁皮石斛MYB基因家族鉴定及表达分析[J]. 生物技术通报, 2024, 40(12): 145-159. |
| [15] | 殷子薇, 红雨. 玫瑰红球菌NB1对玉米的耐盐促生效应及其全基因组研究[J]. 生物技术通报, 2024, 40(12): 193-207. |
| 阅读次数 | ||||||
|
全文 |
|
|||||
|
摘要 |
|
|||||