生物技术通报 ›› 2026, Vol. 42 ›› Issue (4): 297-309.doi: 10.13560/j.cnki.biotech.bull.1985.2025-1104
董宇韬1,2,3,4(
), 包慧芳3, 何苗1,4, 侯鹏1,4, 李烽1,4, 王之西1,4, 秦瑶1,4, 罗青红1,4(
)
收稿日期:2025-10-15
出版日期:2026-02-09
发布日期:2026-02-09
通讯作者:
罗青红,女,博士,研究员,研究方向 :植物生理生态研究;E-mail: lqh482325@sina.com作者简介:董宇韬,男,硕士研究生,研究方向 :有益微生物挖掘及发酵工艺研发;E-mail: 2543614693@qq.com
基金资助:
DONG Yu-tao1,2,3,4(
), BAO Hui-fang3, He Miao1,4, HOU Peng1,4, LI Feng1,4, WANG Zhi-xi1,4, QIN Yao1,4, LUO Qing-hong1,4(
)
Received:2025-10-15
Published:2026-02-09
Online:2026-02-09
摘要:
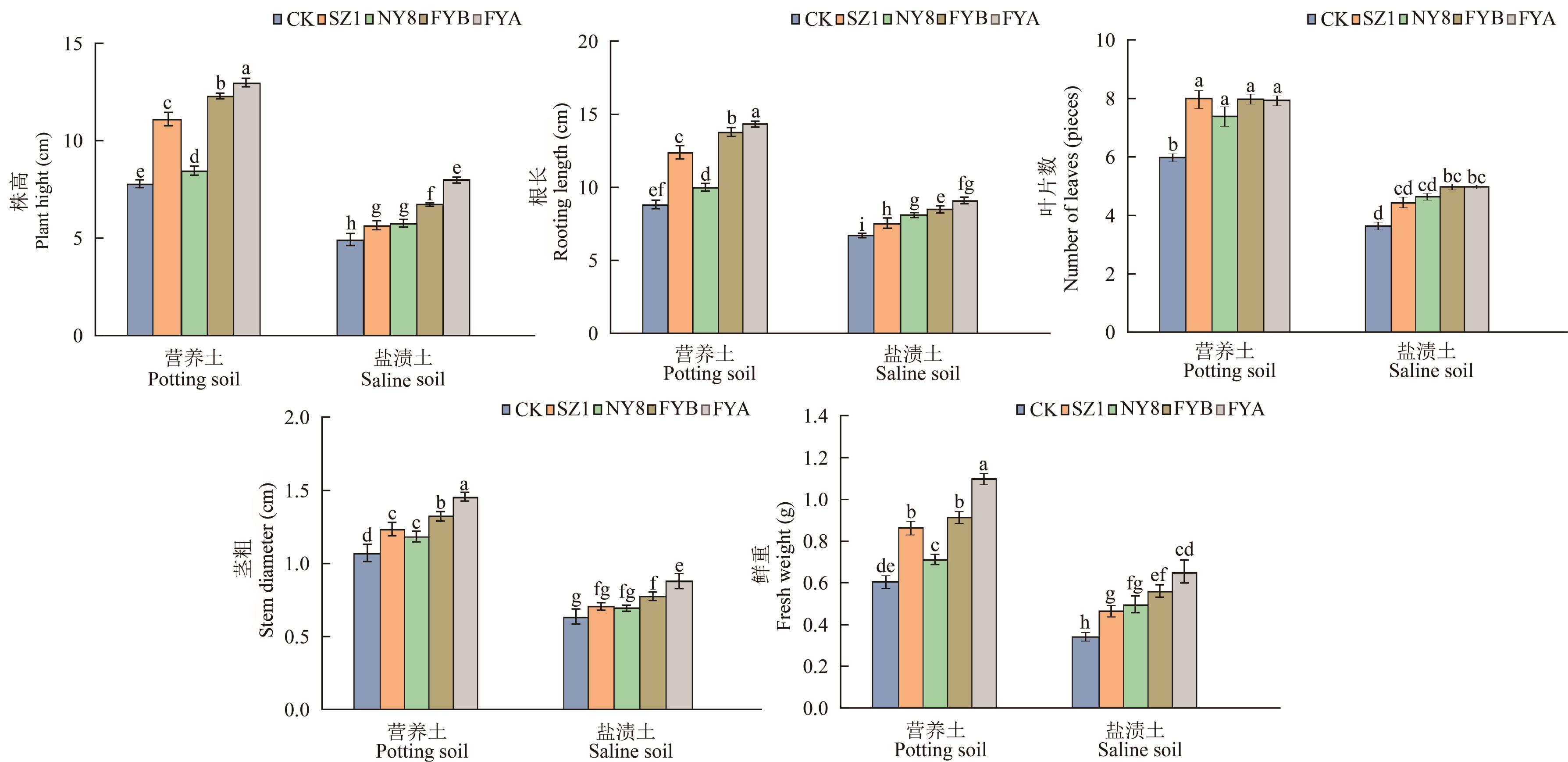
目的 研究耐盐促生复合菌剂的发酵工艺,分析其对盐胁迫下植物的促生效果,为新疆盐渍化地区植株栽培及微生物产品的研发提供理论依据。 方法 以2株分离自盐碱地沙枣根际土壤的优良耐盐Plant Growth-Promoting Rhizobacteria(PGPR)菌株为材料,通过单因素试验及响应面法Box-Behnken试验设计,优化复合菌发酵培养基配方及培养条件。对比发酵优化前后复合菌活菌数、生物量、生长曲线等3种生物学特性;溶有机磷、溶无机磷、固氮、分泌吲哚乙酸(IAA)等4种促生性能。通过盆栽实验测定沙枣株高、根长、叶片数、茎粗及鲜重等5项生长指标,评价优化前后复合菌与单一菌株对沙枣的促生效果。 结果 优化后的耐盐促生复合菌最佳发酵培养基配方为:糖蜜14 g/L、蛋白胨11 g/L、酵母粉5 g/L、Na2HPO4 5 g/L;最适培养条件为pH 7.0、接种量10%、温度37 ℃、摇床转速为180 r/min和装液量为40 mL。此工艺下,发酵液活菌数达7.28×109 CFU/mL,为原始配方的36.04倍且更早进入生长对数期(6h);溶有机磷、溶无机磷、固氮量及分泌吲哚乙酸含量较优化前分别提高56.21%、44.38%、69.70%、64.57%。盐胁迫下,经优化后复合菌处理组(FYA)的沙枣株高、根长、叶片数、茎粗及鲜重较无菌水对照组(CK)分别提高63.76%、34.17%、36.24%、71.15%、73.68%;较优化前复合菌处理组(FYB)株高、根长、茎粗及鲜重分别提高19.32%、5.96%、15.58%、17.86%。 结论 发酵工艺优化显著提高耐盐促生复合菌剂的活菌数及促生性能,在盐胁迫下促进沙枣生长,为盐渍化区域植株栽培提供了科学依据。
董宇韬, 包慧芳, 何苗, 侯鹏, 李烽, 王之西, 秦瑶, 罗青红. 沙枣根际耐盐促生复合菌剂发酵工艺优化及其促生效果研究[J]. 生物技术通报, 2026, 42(4): 297-309.
DONG Yu-tao, BAO Hui-fang, He Miao, HOU Peng, LI Feng, WANG Zhi-xi, QIN Yao, LUO Qing-hong. Optimization of the Fermentation Process and Plant Growth-Promoting Effects of a Salt-tolerant Microbial Consortium from the Rhizosphere of Elaeagnus angustifolia[J]. Biotechnology Bulletin, 2026, 42(4): 297-309.
菌株编号 Strain code | 菌株学名 Strain scientific name | 促生特性 Growth-promoting characteristic |
|---|---|---|
SZ1[ CGMCC No.32296 | 泛菌 | 固氮,产铁载体,产氨,溶磷,分泌吲哚乙酸 |
| Pantoea rodasii | Nitrogen fixation, siderophore production, ammonia synthesis, phosphorus solubilization, and indole-3-acetic acid secretion | |
NY8[ CGMCC No.33699 | 嗜肉考克氏菌 | 固氮,产氨,分泌吲哚乙酸 |
| Kocuria carniphila | Nitrogen fixation, ammonia synthesis, and indole-3-acetic acid secretion |
表1 供试菌株
Table 1 Strains for test
菌株编号 Strain code | 菌株学名 Strain scientific name | 促生特性 Growth-promoting characteristic |
|---|---|---|
SZ1[ CGMCC No.32296 | 泛菌 | 固氮,产铁载体,产氨,溶磷,分泌吲哚乙酸 |
| Pantoea rodasii | Nitrogen fixation, siderophore production, ammonia synthesis, phosphorus solubilization, and indole-3-acetic acid secretion | |
NY8[ CGMCC No.33699 | 嗜肉考克氏菌 | 固氮,产氨,分泌吲哚乙酸 |
| Kocuria carniphila | Nitrogen fixation, ammonia synthesis, and indole-3-acetic acid secretion |
| 因素 Factor | 水平 Factor level | ||
|---|---|---|---|
| -1 | 0 | 1 | |
| A:糖蜜 Glycerol (g/L) | 5 | 10 | 15 |
| B:蛋白胨 Peptone (g/L) | 5 | 10 | 15 |
| C:酵母粉 Yeastextract (g/L) | 4 | 5 | 6 |
| D:磷酸氢二钠 Na2HPO4 (g/L) | 4 | 5 | 6 |
表2 Box-Behnken试验设计因素与水平
Table 2 Optimization of Box-Behnken test factors and levels
| 因素 Factor | 水平 Factor level | ||
|---|---|---|---|
| -1 | 0 | 1 | |
| A:糖蜜 Glycerol (g/L) | 5 | 10 | 15 |
| B:蛋白胨 Peptone (g/L) | 5 | 10 | 15 |
| C:酵母粉 Yeastextract (g/L) | 4 | 5 | 6 |
| D:磷酸氢二钠 Na2HPO4 (g/L) | 4 | 5 | 6 |
菌株编号 Strain code | OD600 | |||||||
|---|---|---|---|---|---|---|---|---|
| NaCl (0%) | NaCl (1%) | NaCl (2%) | NaCl (3%) | NaCl (4%) | NaCl (5%) | NaCl (10%) | NaCl (15%) | |
SZ1 CGMCC No.32296 | 1.76±0.10a | 1.37±0.22b | 0.75±0.05c | 0.59±0.07c | 0.04±0.02d | 0.03±0.01d | 0.02±0.01d | 0.02±0.01d |
NY8 CGMCC No.33699 | 1.92±0.18a | 1.88±0.13a | 1.83±0.15a | 1.84±0.12a | 1.79±0.09a | 1.76±0.16a | 1.15±0.13b | 0.77±0.14c |
表3 菌株耐盐浓度测定
Table 3 Determination of salt concentrations the strains tolerate
菌株编号 Strain code | OD600 | |||||||
|---|---|---|---|---|---|---|---|---|
| NaCl (0%) | NaCl (1%) | NaCl (2%) | NaCl (3%) | NaCl (4%) | NaCl (5%) | NaCl (10%) | NaCl (15%) | |
SZ1 CGMCC No.32296 | 1.76±0.10a | 1.37±0.22b | 0.75±0.05c | 0.59±0.07c | 0.04±0.02d | 0.03±0.01d | 0.02±0.01d | 0.02±0.01d |
NY8 CGMCC No.33699 | 1.92±0.18a | 1.88±0.13a | 1.83±0.15a | 1.84±0.12a | 1.79±0.09a | 1.76±0.16a | 1.15±0.13b | 0.77±0.14c |
图1 混合发酵对菌株SZ1和NY8解磷、固氮和产生长素能力的影响
Fig. 1 Effects of co-fermentation on the phosphate-solubilizing, nitrogen-fixing, and indole-3-acetic acid (IAA) production abilities of strain SZ1 and NY8
图2 不同碳源、氮源及无机盐对复合菌生长的影响不同字母表示差异显著(P<0.05),下同。
Fig. 2 Effect of different carbon sources, nitrogen sources and inorganic salts on the growth of microbial consortiumDifferent letters indicate significant differences(P<0.05), the same below.
| 试验编号 Experiment number | A糖蜜 Molasses | B蛋白陈 Peptone | C酵母粉 Yeast extract | D磷酸氢二钠Na2HPO4 | OD600 |
|---|---|---|---|---|---|
| 1 | 0 | 0 | 0 | 0 | 3.863 |
| 2 | 0 | 0 | 1 | -1 | 3.049 |
| 3 | -1 | 1 | 0 | 0 | 3.026 |
| 4 | 1 | 1 | 0 | 0 | 3.007 |
| 5 | 0 | 1 | 1 | 0 | 3.027 |
| 6 | 0 | 1 | 0 | 1 | 3.032 |
| 7 | 0 | -1 | 0 | 1 | 3.652 |
| 8 | -1 | 0 | 0 | -1 | 2.985 |
| 9 | 0 | 0 | 0 | 0 | 3.942 |
| 10 | -1 | -1 | 0 | 0 | 2.768 |
| 11 | 1 | 0 | 0 | -1 | 3.148 |
| 12 | 0 | 1 | -1 | 0 | 3.049 |
| 13 | 0 | 0 | 1 | 1 | 3.484 |
| 14 | 0 | 0 | -1 | -1 | 3.124 |
| 15 | 0 | -1 | 1 | 0 | 3.526 |
| 16 | 0 | -1 | -1 | 0 | 3.029 |
| 17 | 0 | -1 | 0 | -1 | 2.759 |
| 18 | 0 | 0 | -1 | 1 | 2.794 |
| 19 | 1 | 0 | -1 | 0 | 3.346 |
| 20 | 0 | 0 | 0 | 0 | 3.965 |
| 21 | 1 | 0 | 1 | 0 | 3.444 |
| 22 | -1 | 0 | 0 | 1 | 2.598 |
| 23 | 0 | 0 | 0 | 0 | 3.874 |
| 24 | -1 | 0 | -1 | 0 | 2.927 |
| 25 | -1 | 0 | 1 | 0 | 3.149 |
| 26 | 1 | -1 | 0 | 0 | 3.678 |
| 27 | 1 | 0 | 0 | 1 | 3.564 |
| 28 | 0 | 1 | 0 | -1 | 3.259 |
| 29 | 0 | 0 | 0 | 0 | 3.975 |
表4 Box-Behnken 试验设计及结果
Table 4 Box-Behnken experimental design and results
| 试验编号 Experiment number | A糖蜜 Molasses | B蛋白陈 Peptone | C酵母粉 Yeast extract | D磷酸氢二钠Na2HPO4 | OD600 |
|---|---|---|---|---|---|
| 1 | 0 | 0 | 0 | 0 | 3.863 |
| 2 | 0 | 0 | 1 | -1 | 3.049 |
| 3 | -1 | 1 | 0 | 0 | 3.026 |
| 4 | 1 | 1 | 0 | 0 | 3.007 |
| 5 | 0 | 1 | 1 | 0 | 3.027 |
| 6 | 0 | 1 | 0 | 1 | 3.032 |
| 7 | 0 | -1 | 0 | 1 | 3.652 |
| 8 | -1 | 0 | 0 | -1 | 2.985 |
| 9 | 0 | 0 | 0 | 0 | 3.942 |
| 10 | -1 | -1 | 0 | 0 | 2.768 |
| 11 | 1 | 0 | 0 | -1 | 3.148 |
| 12 | 0 | 1 | -1 | 0 | 3.049 |
| 13 | 0 | 0 | 1 | 1 | 3.484 |
| 14 | 0 | 0 | -1 | -1 | 3.124 |
| 15 | 0 | -1 | 1 | 0 | 3.526 |
| 16 | 0 | -1 | -1 | 0 | 3.029 |
| 17 | 0 | -1 | 0 | -1 | 2.759 |
| 18 | 0 | 0 | -1 | 1 | 2.794 |
| 19 | 1 | 0 | -1 | 0 | 3.346 |
| 20 | 0 | 0 | 0 | 0 | 3.965 |
| 21 | 1 | 0 | 1 | 0 | 3.444 |
| 22 | -1 | 0 | 0 | 1 | 2.598 |
| 23 | 0 | 0 | 0 | 0 | 3.874 |
| 24 | -1 | 0 | -1 | 0 | 2.927 |
| 25 | -1 | 0 | 1 | 0 | 3.149 |
| 26 | 1 | -1 | 0 | 0 | 3.678 |
| 27 | 1 | 0 | 0 | 1 | 3.564 |
| 28 | 0 | 1 | 0 | -1 | 3.259 |
| 29 | 0 | 0 | 0 | 0 | 3.975 |
| 方差来源 Sources of variance | 平方和 Sum of squares | 自由度 Degrees of freedom | 均方 Mean square | F值 F-value | P值 P-value | 显著性 Significance |
|---|---|---|---|---|---|---|
| 模型 | 4.38 | 14 | 0.312 7 | 28.01 | <0.000 1 | ** |
| A-糖蜜 Molasses | 0.622 9 | 1 | 0.622 9 | 55.79 | <0.000 1 | ** |
| B-蛋白陈 Peptone | 0.085 3 | 1 | 0.085 3 | 7.64 | 0.015 2 | * |
| C-酵母粉 Yease extract | 0.165 7 | 1 | 0.165 7 | 14.84 | 0.001 8 | ** |
| D-磷酸氢二钠 Na2HPO4 | 0.053 3 | 1 | 0.053 3 | 4.78 | 0.046 3 | * |
| AB | 0.215 8 | 1 | 0.215 8 | 19.32 | 0.000 6 | ** |
| AC | 0.003 8 | 1 | 0.003 8 | 0.344 3 | 0.566 7 | - |
| AD | 0.161 2 | 1 | 0.161 2 | 14.44 | 0.002 0 | ** |
| BC | 0.067 3 | 1 | 0.067 3 | 6.03 | 0.027 7 | * |
| BD | 0.313 6 | 1 | 0.313 6 | 28.09 | 0.000 1 | ** |
| CD | 0.146 3 | 1 | 0.146 3 | 13.10 | 0.002 8 | ** |
| A2 | 1.04 | 1 | 1.04 | 92.75 | <0.000 1 | ** |
| B2 | 0.927 1 | 1 | 0.927 1 | 83.04 | <0.000 1 | ** |
| C2 | 0.845 6 | 1 | 0.845 6 | 75.74 | <0.000 1 | ** |
| D2 | 1.16 | 1 | 1.16 | 104.23 | <0.000 1 | ** |
| 残差 | 0.156 3 | 14 | 0.011 2 | |||
| 失拟项 | 0.145 5 | 10 | 0.014 5 | 5.37 | 0.059 7 | |
| 纯误差 | 0.010 8 | 4 | 0.002 7 | |||
| 总和 | 4.53 | 28 |
表5 响应面二次模型方差分析
Table 5 ANOVA of the quadratic model in response surface methodology
| 方差来源 Sources of variance | 平方和 Sum of squares | 自由度 Degrees of freedom | 均方 Mean square | F值 F-value | P值 P-value | 显著性 Significance |
|---|---|---|---|---|---|---|
| 模型 | 4.38 | 14 | 0.312 7 | 28.01 | <0.000 1 | ** |
| A-糖蜜 Molasses | 0.622 9 | 1 | 0.622 9 | 55.79 | <0.000 1 | ** |
| B-蛋白陈 Peptone | 0.085 3 | 1 | 0.085 3 | 7.64 | 0.015 2 | * |
| C-酵母粉 Yease extract | 0.165 7 | 1 | 0.165 7 | 14.84 | 0.001 8 | ** |
| D-磷酸氢二钠 Na2HPO4 | 0.053 3 | 1 | 0.053 3 | 4.78 | 0.046 3 | * |
| AB | 0.215 8 | 1 | 0.215 8 | 19.32 | 0.000 6 | ** |
| AC | 0.003 8 | 1 | 0.003 8 | 0.344 3 | 0.566 7 | - |
| AD | 0.161 2 | 1 | 0.161 2 | 14.44 | 0.002 0 | ** |
| BC | 0.067 3 | 1 | 0.067 3 | 6.03 | 0.027 7 | * |
| BD | 0.313 6 | 1 | 0.313 6 | 28.09 | 0.000 1 | ** |
| CD | 0.146 3 | 1 | 0.146 3 | 13.10 | 0.002 8 | ** |
| A2 | 1.04 | 1 | 1.04 | 92.75 | <0.000 1 | ** |
| B2 | 0.927 1 | 1 | 0.927 1 | 83.04 | <0.000 1 | ** |
| C2 | 0.845 6 | 1 | 0.845 6 | 75.74 | <0.000 1 | ** |
| D2 | 1.16 | 1 | 1.16 | 104.23 | <0.000 1 | ** |
| 残差 | 0.156 3 | 14 | 0.011 2 | |||
| 失拟项 | 0.145 5 | 10 | 0.014 5 | 5.37 | 0.059 7 | |
| 纯误差 | 0.010 8 | 4 | 0.002 7 | |||
| 总和 | 4.53 | 28 |
图8 耐盐促生复合菌剂对盐胁迫下沙枣生长的影响
Fig. 8 Effects of the salt-tolerant and plant growth-promoting microbial consortium on Elaeagnus angustifolia growth under salt stress
| [1] | 刘珩, 蒋腾, 罗青红, 等. 新疆大果沙枣果实褐斑病菌主要生物学特性及室内药剂筛选 [J]. 河北农业科学, 2024, 28(3): 62-68. |
| Liu H, Jiang T, Luo QH, et al. Main biological characteristics and indoor pesticides screening of furit brown spot of Elaeagnus angustifolia in Xinjiang [J]. J Hebei Agric Sci, 2024, 28(3): 62-68. | |
| [2] | 常跃畅, 葛亚军, 曹占强, 等. 我国盐碱地分布特征及改良实践分析 [J]. 农业灾害研究, 2025, 15(1): 244-246. |
| Chang YC, Ge YJ, Cao ZQ, et al. Spatial distribution and amelioration strategies for saline-alkali soils in China [J]. J Agricultural Catastrophology, 2025, 15(1): 244-246. | |
| [3] | 孔亚丽, 秦华, 朱春权, 等. 土壤微生物影响土壤健康的作用机制研究进展 [J]. 土壤学报, 2024, 61(2): 331-347. |
| Kong YL, Qin H, Zhu CQ, et al. Research progress on the mechanism by which soil microorganisms affect soil health [J]. Acta Pedol Sin, 2024, 61(2): 331-347. | |
| [4] | 廖永琴, 王楠, 施竹凤, 等. 耐盐芽胞杆菌鉴定、发酵条件优化及其生防作用 [J]. 中国生物防治学报, 2025, 41(3): 571-584. |
| Liao YQ, Wang N, Shi ZF, et al. Identification of Bacillus halotolerans, optimization of fermentation conditions and its biocontrol effect [J]. Chin J Biol Control, 2025, 41(3): 571-584. | |
| [5] | 魏振勇, 于爽, 迟雪梅, 等. 海洋来源成团泛菌Y-03产低温甾醇酯酶发酵条件优化 [J]. 中国酿造, 2025, 44(1): 219-225. |
| Wei ZY, Yu S, Chi XM, et al. Optimization of fermentation conditions for low-temperature sterol esterase production by Pantoea agglomerans from marine [J]. China Brew, 2025, 44(1): 219-225. | |
| [6] | 徐姮, 李婵娟, 洪玉枝, 等. 考克氏菌木聚糖酶发酵条件的优化 [J]. 华中农业大学学报, 2009, 28(6): 701-704. |
| Xu D, Li CJ, Hong YZ, et al. Optimization of liquid fermentation condition of xylanase produced by kocuria sp. Mn22 [J]. J Huazhong Agric Univ, 2009, 28(6): 701-704. | |
| [7] | 车永梅, 刘广超, 郭艳苹, 等. 一种耐盐复合菌剂的制备和促生作用研究 [J]. 生物技术通报, 2023, 39(11): 217-225. |
| Che YM, Liu GC, Guo YP, et al. Preparation of compound halotolerant bioinoculant and study on its growth-promoting effect[J]. Biotechnol Bull, 2023, 39(11): 217-225. | |
| [8] | 毛建才, 熊木, 翟文强, 等. 短期NaCl胁迫下9个甜瓜品种抗性生理指标的综合评价 [J]. 新疆农业科学, 2020, 57(8): 1421-1430. |
| Mao JC, Xiong M, Zhai WQ, et al. Comprehensive evaluation of physiological indexes of nine melon varieties under NaCl stress [J]. Xinjiang Agric Sci, 2020, 57(8): 1421-1430. | |
| [9] | 罗青红, 董宇韬, 陈启民, 等. 一株沙枣根际促生菌及其耐盐诱导方法: CN113068559A [P]. 2025-03-25. |
| Luo QH, Dong YT, Chen QM, et al. A growth-promoting rhizobacterium from Elaeagnus angustifolia and its salt-tolerance induction method: CN113068559A [P]. 2025-03-25. | |
| [10] | 罗青红, 董宇韬, 陈启民, 等. 一株嗜肉考克氏菌NY8及其在盐碱土壤改良中的应用: CN120097786B [P]. 2025-08-22. |
| Luo QH, Dong YT, Chen QM, et al. A strain of Kocuria carniphila NY8 and its application in saline-alkali soil improvement: CN120097786B [P]. 2025-08-22. | |
| [11] | 车建美, 郑雪芳, 王阶平, 等. 一株产纤维素酶菌株的筛选、鉴定及全基因组分析 [J]. 生物技术通报, 2025, 41(3): 294-307. |
| Che JM, Zheng XF, Wang JP, et al. Screening, identification and whole genome analysis of a cellulase producing strain [J]. Biotechnol Bull, 2025, 41(3): 294-307. | |
| [12] | 姚拓. 高寒地区燕麦根际联合固氮菌研究Ⅱ固氮菌的溶磷性和分泌植物生长素特性测定 [J]. 草业学报, 2004, 13(3): 85-90. |
| Yao T. Associative nitrogen-fixing bacteria in the rhizosphere of Avena sativa in an alpine region Ⅱ Phosphate-solubilizing power and auxin production [J]. Acta Prataculturae Sin, 2004, 13(3): 85-90. | |
| [13] | 许世洋, 范雨轩, 汪学苗, 等. 辣椒镰孢根腐病防病促生细菌的筛选及其效应 [J]. 微生物学报, 2022, 62(7): 2735-2750. |
| Xu SY, Fan YX, Wang XM, et al. Screening and effect of growth-promoting bacteria against fusarium root rot of pepper [J]. Acta Microbiol Sin, 2022, 62(7): 2735-2750. | |
| [14] | Wu GF, Zhou XP. Characterization of phosphorus-releasing bacteria in a small eutrophic shallow lake, Eastern China [J]. Water Res, 2005, 39(19): 4623-4632. |
| [15] | 徐亚英, 黄晓梅, 谢丽, 等. 枯草芽孢杆菌液体发酵条件优化探究 [J]. 南方农业, 2020, 14(20): 139-142. |
| Xu YY, Huang XM, Xie L, et al. Optimization of liquid fermentation conditions for Bacillus subtilis [J]. South China Agric, 2020, 14(20): 139-142. | |
| [16] | Li RF, Xu Y. Fermentation optimization to improve production of antagonistic metabolites by Bacillus subtilis strain BS501a [J]. J Cent South Univ Technol, 2011, 18(4): 1047-1053. |
| [17] | 刘芳, 廖先清, 周荣华, 等. 枯草芽孢杆菌BZJN1发酵培养基和培养条件的优化 [J]. 湖北农业科学, 2019, 58(20): 93-96. |
| Liu F, Liao XQ, Zhou RH, et al. Optimization of fermentation medium and conditions for Bacillus subtilis BZJN1 [J]. Hubei Agric Sci, 2019, 58(20): 93-96. | |
| [18] | 国家质量监督检验检疫总局 中国国家标准化管理委员会. 农用微生物菌剂: [S]. 北京: 中国标准出版社, 2006: 4-16. |
| Standardization Administration of the People's Republic of China. Microbial inoculants in agriculture: [S]. Beijing: Standards Press of China, 2006: 4-16. | |
| [19] | 李华静, 王晓东. 酵母菌0939-5产挥发性抑菌物质固态发酵工艺优化 [J]. 2023(7): 1773-1779. |
| Li HJ, Wang XD. Study on the solid-state fermentation technology of yeast 0939-5 [J]. Xinjiang Agric Sci, 2023(7): 1773-1779. | |
| [20] | 吴旭艳, 李行善, 崔传斌, 等. 烟草赤星病多功能生防菌株的筛选及菌群构建优化 [J]. 农业生物技术学报, 2025, 33(3): 628-641. |
| Wu XY, Li XS, Cui CB, et al. Screening, construction and optimization of microbial communities for multifunctional biocontrol of tobacco brown spot [J]. J Agric Biotechnol, 2025, 33(3): 628-641. | |
| [21] | Mohammadi A, Shojaosadati SA, Tehrani HJ, et al. Schizophyllan production by newly isolated fungus Schizophyllum commune IBRC-M 30213: optimization of culture medium using response surface methodology [J]. Ann Microbiol, 2018, 68(1): 47-62. |
| [22] | 郭渊, 李韵雅, 江威, 等. 一株高效解磷肠膜明串珠菌的分离鉴定及解磷能力研究 [J]. 微生物学通报, 2018, 45(10): 2131-2141. |
| Guo Y, Li YY, Jiang W, et al. Isolation and identification of a phosphate solubilizing bacterium Leuconostoc mesenteroides and its ability to dissolve phosphorus [J]. Microbiol China, 2018, 45(10): 2131-2141. | |
| [23] | 许睿娉. 枯草芽孢杆菌HG——15菌体发酵全可溶培养基配方与条件优化 [D]. 泰安: 山东农业大学, 2020. |
| Xu RP. Optimization of fermentation conditions and the formulation of fully soluble medium for bacillus subtilis HG-15 [D]. Taian: Shandong Agricultural University, 2020. | |
| [24] | 朱海云, 马瑜, 柯杨, 等. 抗猕猴桃细菌性溃疡病蜡样芽孢杆菌MA23培养基及发酵条件优化 [J]. 中国农学通报, 2021, 37(7): 112-118. |
| Zhu HY, Ma Y, Ke Y, et al. Optimization of culture medium and fermentation parameters of Bacillus cereus MA23 antagonistic to kiwifruit canker [J]. Chin Agric Sci Bull, 2021, 37(7): 112-118. | |
| [25] | Doni F, Suhaimi NSM, Irawan B, et al. Associations of Pantoea with rice plants: as friends or foes? [J]. Agriculture, 2021, 11(12): 1278. |
| [26] | Goswami D, Pithwa S, Dhandhukia P, et al. Delineating Kocuria turfanensis 2M4 as a credible PGPR: a novel IAA-producing bacteria isolated from saline desert [J]. J Plant Interact, 2014, 9(1): 566-576. |
| [27] | 周静, 黄文茂, 秦利军, 等. 四株PGPR菌株混菌发酵体系的构建及促生效应评价 [J]. 生物技术通报, 2021, 37(4): 116-126. |
| Zhou J, Huang WM, Qin LJ, et al. Construction of mixed fermentation system of four PGPR strains and evaluation of its promoting effect [J]. Biotechnol Bull, 2021, 37(4): 116-126. | |
| [28] | 刘佳欣, 张会龙, 邹荣松, 等. 不同类型盐生植物适应盐胁迫的生理生长机制及Na+逆向转运研究进展 [J]. 生物技术通报, 2023, 39(1): 59-71. |
| Liu JX, Zhang HL, Zou RS, et al. Esearch progress in Na+ antiport and physiological growth mechanisms of differernt halophytes adapted to salt stress [J]. Biotechnol Bull, 2023, 39(1): 59-71. | |
| [29] | 赵忠娟, 杨凯, 扈进冬, 等. 盐胁迫条件下哈茨木霉ST02对椒样薄荷生长及根区土壤理化性质的影响 [J]. 生物技术通报, 2022, 38(7): 224-235. |
| Zhao ZJ, Yang K, Hu JD, et al. Effects of Trichoderma harzianum ST02 on the growth of peppermintand physicochemical properties of root zone soil under salt stress [J]. Biotechnol Bull, 2022, 38(7): 224-235. | |
| [30] | 杨海霞, 刘希旻, 潘奕臣, 等. 耐盐碱溶磷菌Y2R2的分离鉴定及溶磷特性 [J]. 生物技术通报, 2020, 36(10): 127-134. |
| Yang HX, Liu XM, Pan YC, et al. Isolation, identification and characterization of salt-alkali-tolerant and phosphorus-dissolving bacterium Y2R2 [J]. Biotechnol Bull, 2020, 36(10): 127-134. | |
| [31] | 乔富博, 陈静, 刘显军, 等. 益生菌发酵饲料在畜禽生产中的研究进展 [J]. 饲料工业, 2025, 46(3): 26-32. |
| Qiao FB, Chen J, Liu XJ, et al. Progress of probiotic fermented feed in livestock and poultry production [J]. Feed Ind, 2025, 46(3): 26-32. | |
| [32] | 徐妙云, 邢利娟, 杨明雨, 等. 高直链淀粉禾谷类作物种质创新与利用研究进展 [J]. 生物技术通报, 2022, 38(4): 20-28. |
| Xu MY, Xing LJ, Yang MY, et al. Research progress in germplasm innovation and utilization of high-amylose cereal crops [J]. Biotechnol Bull, 2022, 38(4): 20-28. | |
| [33] | 唐晨旻, 张劲松, 刘艳芳, 等. pH对灵芝液态发酵代谢物及抗氧化活性的影响 [J]. 菌物学报, 2023, 42(2): 570-583. |
| Tang CM, Zhang JS, Liu YF, et al. Effects of pH on metabolites and antioxidant activities of Ganoderma lingzhi liquid fermentation [J]. Mycosystema, 2023, 42(2): 570-583. | |
| [34] | 任鑫茹, 赵宏璐, 李雅静, 等. 混菌低温发酵对玉米秸秆黄贮饲料品质的影响 [J]. 生物技术通报, 2025, 41(3): 330-342. |
| Ren XR, Zhao HL, Li YJ, et al. Impact of low-temperature fermentation with mixed microbial agent on the quality of corn straw yellow silage feeds [J]. Biotechnol Bull, 2025, 41(3): 330-342. | |
| [35] | 李凤娟, 张化朋, 张颜廷, 等. 植物乳植杆菌LP0126的分离鉴定与安全性研究 [J]. 中国食品添加剂, 2024, 35(5): 46-56. |
| Li FJ, Zhang HP, Zhang YT, et al. Isolation, identification and safety assessment of Lactobacillus plantarum LP0126 [J]. China Food Addit, 2024, 35(5): 46-56. | |
| [36] | 张全国, 孙堂磊, 荆艳艳, 等. 玉米秸秆酶解上清液厌氧发酵产氢工艺优化 [J]. 农业工程学报, 2016, 32(5): 233-238. |
| Zhang QG, Sun TL, Jing YY, et al. Process optimization of bio-hydrogen production by anaerobic fermentation of enzymatic hydrolysate supernatants of corn stalk [J]. Trans Chin Soc Agric Eng, 2016, 32(5): 233-238. |
| [1] | 苏畅, 文凤, 王业林, 邵瑞盈, 唐家杰, 夏占峰. 一株产表面活性素芽胞杆菌发酵优化及其防治应用[J]. 生物技术通报, 2026, 42(4): 332-344. |
| [2] | 廉少杰, 唐胜硕, 康传利, 刘磊, 郑德强, 杜帅, 汤丽伟, 张美霞, 刘蔷. 高产银耳多糖酶菌株的分离、鉴定、发酵条件优化及其酶的特性分析[J]. 生物技术通报, 2025, 41(9): 302-313. |
| [3] | 孙孟雪, 张艺潆, 徐鹏, 孙卓, 王云贺, 韩忠明. 防风内生细菌的分离鉴定及其促生特性分析[J]. 生物技术通报, 2025, 41(7): 299-311. |
| [4] | 刘爽, 江洲, 赵帅, 赵雷真, 黄峰, 周佳, 屈建航. 一株产蛋白酶细菌的筛选、鉴定及发酵工艺优化[J]. 生物技术通报, 2025, 41(4): 335-344. |
| [5] | 陈海敏, 孙菲, 袁源, 吴佳雯, 江红, 周剑. 紫外诱变选育巴弗洛霉素A1高产菌株及其培养基优化[J]. 生物技术通报, 2025, 41(3): 51-61. |
| [6] | 罗明凯, 张豪杰, 石晖琴, 李亚楠, 封瑞超, 沈硕. 三株马铃薯炭疽病生防菌的分离鉴定及其高抑菌活性培养物发酵参数优化[J]. 生物技术通报, 2025, 41(12): 313-327. |
| [7] | 张严化, 曲文龙, 戴文静, 张睿宁, 刘羽鸿, 王德培, 薛鲜丽. 一株高产维生素B13不动杆菌鉴定及发酵条件优化[J]. 生物技术通报, 2025, 41(11): 153-165. |
| [8] | 梁颖怡, 赵安宿, 王瑞曦, 沈天虹, 马欣荣, 王敏, 骆健美. 莱茵衣藻新黄素合成相关蛋白质的挖掘与分析[J]. 生物技术通报, 2025, 41(11): 190-200. |
| [9] | 张梦菲, 余炼, 李菲, 李喆, 苏芯莹, 蓝彩碧, 朱虎, 秦莹. 响应面法优化暹罗芽孢杆菌产大环内酯的发酵培养条件[J]. 生物技术通报, 2024, 40(8): 299-308. |
| [10] | 杨鹭, 袁源, 方志锴, 林如, 江红, 周剑. 一株链霉菌的鉴定及其产格尔德霉素的发酵工艺研究[J]. 生物技术通报, 2024, 40(6): 299-309. |
| [11] | 常海霞, 李明源, 麦日艳古·亚生, 周茜, 王继莲. 产胞外多糖多功能促生菌的筛选鉴定及促生评价[J]. 生物技术通报, 2024, 40(3): 273-285. |
| [12] | 殷子薇, 红雨. 玫瑰红球菌NB1对玉米的耐盐促生效应及其全基因组研究[J]. 生物技术通报, 2024, 40(12): 193-207. |
| [13] | 李希, 边子俊, 宁周神, 刘红雨, 曾槟, 董伟. 离子型稀土矿根际芽孢杆菌的促生作用研究[J]. 生物技术通报, 2024, 40(11): 259-268. |
| [14] | 叶卓妍, 周家淇, 林丹媛, 孙赫男, 王艳珍. 杨树桑黄多糖提取条件优化及其抑菌活性研究[J]. 生物技术通报, 2024, 40(11): 58-67. |
| [15] | 余金岂, 邬柯奕, 陈正睿, 王婧涵, 张鑫, 王春月. 珊瑚状猴头菌多糖超声辅助提取工艺优化及抗结直肠癌活性研究[J]. 生物技术通报, 2024, 40(11): 78-87. |
| 阅读次数 | ||||||
|
全文 |
|
|||||
|
摘要 |
|
|||||