• 研究报告 • 下一篇
刘林娅1(
), 刘欢艳1,2, 梁鑫钰1, 宋姝熠1,3, 何斌1, 王绪英1(
), 黄亚成1(
)
收稿日期:2025-07-29
出版日期:2025-12-23
通讯作者:
黄亚成,男,博士,副教授,研究方向 :果树生物化学与分子生物学;E-mail: yachenghuang1314@126.com作者简介:刘林娅,女,博士,副教授,研究方向 :植物分子遗传育种;E-mail: liulinya913@126.com
基金资助:
LIU Lin-ya1(
), LIU Huan-yan1,2, LIANG Xin-yu1, SONG Shu-yi1,3, HE Bin1, WANG Xu-ying1(
), HUANG Ya-cheng1(
)
Received:2025-07-29
Published:2025-12-23
摘要:
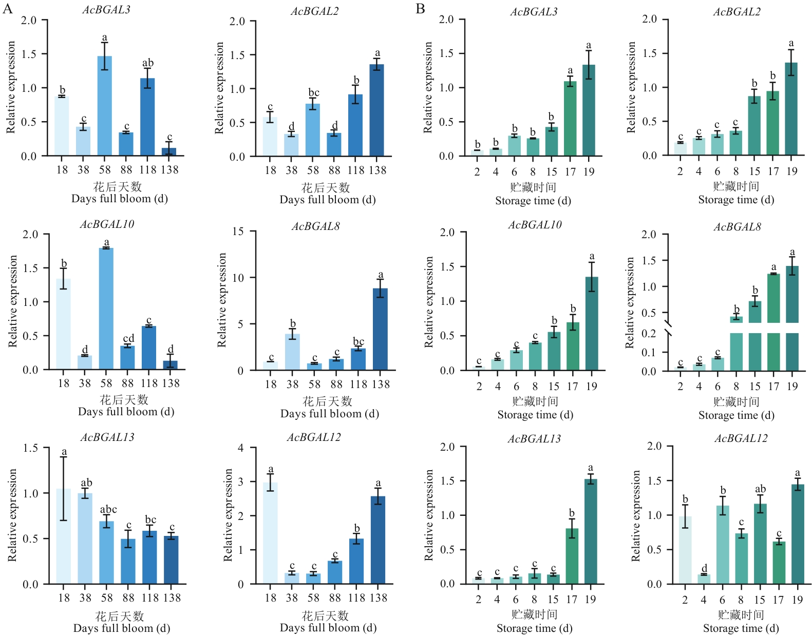
目的 对‘红阳’猕猴桃β-半乳糖苷酶基因(AcBGALs)家族进行全基因组鉴定和表达模式分析,为深入解析该基因家族功能提供理论依据。 方法 基于‘红阳’猕猴桃基因组数据对AcBGALs进行鉴定,利用生物信息学方法对其理化性质、染色体定位、基因结构、系统进化关系及基因间的共线性进行分析,结合转录组数据和实时荧光定量PCR技术分析基因在猕猴桃不同组织、果实不同发育时期和后熟软化及激素响应过程中的表达模式。 结果 在‘红阳’猕猴桃全基因组中共鉴定出21个BGAL家族成员,分属6个亚家族,不均匀分布在14条染色体上。顺式作用元件分析发现,该基因家族启动子区含有丰富的生长发育及激素响应相关元件。表达分析结果显示,除AcBGAL3外,其余5个候选基因在果实中均呈现较高表达水平;随着果实的发育,AcBGAL2与AcBGAL8呈明显上调表达,而AcBGAL13表达下调,该表达趋势与转录组分析结果一致。在果实后熟软化过程中,除AcBGAL12外,其他5个AcBGAL基因均表现出上调表达的趋势。此外,在果实中,乙烯(ET)和脱落酸(ABA)处理下调AcBGAL2、AcBGAL8和AcBGAL12的表达;氯吡脲(CPPU)和赤霉素(GA3)处理下调AcBGAL2和AcBGAL12的表达,但在处理前期上调AcBGAL3、AcBGAL10和AcBGAL13的表达。 结论 在‘红阳’猕猴桃基因组中共鉴定出21个AcBGAL基因,6个候选基因的表达与果实发育和后熟软化密切相关,并受外源激素(ET、ABA、CPPU和GA3)调控,为进一步挖掘AcBGAL基因功能奠定基础。
刘林娅, 刘欢艳, 梁鑫钰, 宋姝熠, 何斌, 王绪英, 黄亚成. ‘红阳’猕猴桃BGAL基因家族的全基因组鉴定与表达分析[J]. 生物技术通报, doi: 10.13560/j.cnki.biotech.bull.1985.2025-0816.
LIU Lin-ya, LIU Huan-yan, LIANG Xin-yu, SONG Shu-yi, HE Bin, WANG Xu-ying, HUANG Ya-cheng. Genome-wide Identification and Expression Analysis of BGAL Family in Actinidiachinensis var. Hongyang[J]. Biotechnology Bulletin, doi: 10.13560/j.cnki.biotech.bull.1985.2025-0816.
引物名称 Primer name | 引物序列 Primer sequence (5′‒3′) |
|---|---|
| AcBGAL2-F/R | AGCTTGGCTGTGGTCTGC/GGTCCCCTCCGAGTTCCT |
| AcBGAL3-F/R | AGCACTGAGTCTTCATTCTCT/CTCCCCCTGGAGCATTGAAAA |
| AcBGAL8-F/R | TGGTCATGAGCCTTCTCCTGGA/GGGGCCAATTCGGAGATGAA |
| AcBGAL10-F/R | CGGAGGCTTAGATGTGATCG/TAAACCAGCTTCAGCGACCA |
| AcBGAL12-F/R | TACCTCCCTCGGAAGCAAC/CCATTGAACTTGACCGTAGC |
| AcBGAL13-F/R | ACGAAGCACTCCCGAAATGT/AGGGCTCATGCACATTCCAA |
| 18S-F/R | GAATCATCAGAGCAACGGGC/TTTGATGGTATTTGCTACTCGGA |
| GAPDH-F/R | CGTCCTTCCCTCCCTCAAA/TCTTCTTGGTGACCTGGACGA |
表1 实时荧光定量PCR引物
Table 1 Primers for RT-qPCR
引物名称 Primer name | 引物序列 Primer sequence (5′‒3′) |
|---|---|
| AcBGAL2-F/R | AGCTTGGCTGTGGTCTGC/GGTCCCCTCCGAGTTCCT |
| AcBGAL3-F/R | AGCACTGAGTCTTCATTCTCT/CTCCCCCTGGAGCATTGAAAA |
| AcBGAL8-F/R | TGGTCATGAGCCTTCTCCTGGA/GGGGCCAATTCGGAGATGAA |
| AcBGAL10-F/R | CGGAGGCTTAGATGTGATCG/TAAACCAGCTTCAGCGACCA |
| AcBGAL12-F/R | TACCTCCCTCGGAAGCAAC/CCATTGAACTTGACCGTAGC |
| AcBGAL13-F/R | ACGAAGCACTCCCGAAATGT/AGGGCTCATGCACATTCCAA |
| 18S-F/R | GAATCATCAGAGCAACGGGC/TTTGATGGTATTTGCTACTCGGA |
| GAPDH-F/R | CGTCCTTCCCTCCCTCAAA/TCTTCTTGGTGACCTGGACGA |
图2 猕猴桃(Ac)、桃(Pp)、苹果(Md)和拟南芥(At)BGAL同源蛋白的系统发育树
Fig. 2 Phylogenetic tree of BGAL homologous protein in A. chinensi (Ac), P. persica (Pp), M. domestica (Md)and A. thaliana (At)
图3 AcBGALs的保守基序和基因结构分析A:AcBGALs系统发育树;B:AcBGAL保守基序;C:AcBGAL基因结构
Fig. 3 Analysis of conserved motifs and gene structure of AcBGALsA: Phylogenetic tree of AcBGALs. B: Conserved motifs of AcBGAL. C: Structure of AcBGAL gene
图4 AcBGAL基因启动子顺式作用元件分析A:顺式作用元件预测统计;B:各类顺式元件的数量分布
Fig. 4 Cis-acting element analysis of AcBGAL gene promotersA: Prediction statistics of cis-acting elements. B: The number distribution of various cis-acting elements
图5 果实不同发育时期‘红阳’猕猴桃果实中的BGAL基因表达分析DPA:授粉后天数
Fig. 5 Expression analysis of BGAL genes in fruits at different fruit developmental stages of A. chinensis var. HongyangDPA: Days after pollination
图6 AcBGAL基因在不同组织中的表达不同的字母表示差异显著(P<0.05),下同
Fig. 6 Expressions of AcBGAL genes in different tissuesDifferent letters indicate significant difference at P<0.05 level. The same below
| [1] | 曹晓聪, 张朝军, 苟浩琦, 等. 棉花β-半乳糖苷酶基因家族的全基因组鉴定及分析 [J]. 分子植物育种, 2021, 19(24): 8032-8047. |
| Cao XC, Zhang CJ, Gou HQ, et al. Genome-wide identification and analysis of cotton β-galactosidase gene family [J]. Mol Plant Breed, 2021, 19(24): 8032-8047. | |
| [2] | 杜丽娜, 汤泽慧, 吴小容, 等. 茎瘤芥β-半乳糖苷酶家族基因鉴定及表达分析 [J]. 分子植物育种, 2023, 21(2): 472-486. |
| Du LN, Tang ZH, Wu XR, et al. Genome-wide identification and expression analysis of β-galactosidase family members in Brassica juncea var. tumida [J]. Mol Plant Breed, 2023, 21(2): 472-486. | |
| [3] | 俞沁佩, 孙鹂, 张淑文, 等. 园艺作物果实β-半乳糖苷酶研究进展 [J]. 浙江农业学报, 2024, 36(9): 2184-2192. |
| Yu QP, Sun L, Zhang SW, et al. Research progress of β-galactosidase in fruits of horticultural crops [J]. Acta Agric Zhejiangensis, 2024, 36(9): 2184-2192. | |
| [4] | Ahn YO, Zheng MY, Bevan DR, et al. Functional genomic analysis of Arabidopsis thaliana glycoside hydrolase family 35 [J]. Phytochemistry, 2007, 68(11): 1510-1520. |
| [5] | Pan HB, Sun YH, Qiao MM, et al. Beta-galactosidase gene family genome-wide identification and expression analysis of members related to fruit softening in melon (Cucumis melo L.) [J]. BMC Genomics, 2022, 23(1): 795. |
| [6] | 赵丹, 朵虎, 吕前前, 等. 苹果β-半乳糖苷酶基因家族响应腐烂病菌信号 [J]. 植物生理学报, 2021, 57(6): 1319-1328. |
| Zhao D, Duo H, Lü QQ, et al. β-Galactosidase gene family responds to the signals of Valsa mali in apple [J]. Plant Physiol J, 2021, 57(6): 1319-1328. | |
| [7] | Smith DL, Gross KC. A family of at least seven β-galactosidase genes is expressed during tomato fruit development [J]. Plant Physiol, 2000, 123(3): 1173-1184. |
| [8] | Chandrasekar B, van der Hoorn RAL. Beta galactosidases in Arabidopsis and tomato - a mini review [J]. Biochem Soc Trans, 2016, 44(1): 150-158. |
| [9] | Ban QY, Han Y, Meng K, et al. Characterization of β-galactosidase genes involved in persimmon growth and fruit ripening and in response to propylene and 1-methylcyclopropene [J]. J Plant Growth Regul, 2016, 35(4): 1025-1035. |
| [10] | Tateishi A, Nagashima K, Mathooko FM, et al. Differential expression of members of the β-galactosidase gene family during Japanese pear (Pyrus pyrifolia L.) fruit growth and on-tree ripening [J]. Jashs, 2005, 130(6): 819-829. |
| [11] | Paniagua C, Blanco-Portales R, Barceló-Muñoz M, et al. Antisense down-regulation of the strawberry β-galactosidase gene FaβGal4 increases cell wall galactose levels and reduces fruit softening [J]. J Exp Bot, 2016, 67(3): 619-631. |
| [12] | Livio Trainotti RS. β-Galactosidases with a lectin-like domain are expressed in strawberry [J]. J Exp Bot, 2001, 52(361): 1635-1645. |
| [13] | Guo SL, Song J, Zhang BB, et al. Genome-wide identification and expression analysis of beta-galactosidase family members during fruit softening of peach [Prunus persica (L.) Batsch] [J]. Postharvest Biol Technol, 2018, 136: 111-123. |
| [14] | Hou FY, Du TF, Qin Z, et al. Genome-wide in silico identification and expression analysis of beta-galactosidase family members in sweetpotato [Ipomoea batatas (L.) Lam] [J]. BMC Genomics, 2021, 22(1): 140. |
| [15] | Liu JL, Gao MH, Lv ML, et al. Structure, evolution, and expression of the β-galactosidase gene family in Brassica campestris ssp. chinensis [J]. Plant Mol Biol Report, 2013, 31(6): 1249-1260. |
| [16] | 冯新, 赖瑞联, 高敏霞, 等. Adβgal-1和Adβgal-2克隆及其在猕猴桃果实软化中的作用 [J]. 中国农业科学, 2019, 52(2): 312-326. |
| Feng X, Lai RL, Gao MX, et al. Cloning of Adβgal-1 and Adβgal-2 genes and their roles during fruit softening of kiwifruit [J]. Sci Agric Sin, 2019, 52(2): 312-326. | |
| [17] | 刘林娅, 杨那, 罗宇璇, 等. ‘红阳’猕猴桃金属硫蛋白基因AcMT2的克隆、表达分析及功能鉴定 [J/OL]. 分子植物育种, 2024. . |
| Liu LY, Yang N, Luo YX, et al. Cloning, expression analysis and functional characterization of AcMT2 in Actinidia chinensis var. ‘Hongyang’ [J/OL]. Mol Plant Breed, 2024. . | |
| [18] | 徐小彪, 张秋明. 中国猕猴桃种质资源的研究与利用 [J]. 植物学通报, 2003, 38(6): 648-655. |
| Xu XB, Zhang QM. Researches and utilizations of germplasm resource of kiwifruit in China [J]. Chin Bull Bot, 2003, 38(6): 648-655. | |
| [19] | 黄文俊, 钟彩虹. 猕猴桃果实采后生理研究进展 [J]. 植物科学学报, 2017, 35(4): 622-630. |
| Huang WJ, Zhong CH. Research advances in the postharvest physiology of kiwifruit [J]. Plant Sci J, 2017, 35(4): 622-630. | |
| [20] | 任东立, 黄亚成, 刘林娅, 等. ‘红阳’猕猴桃蔗糖合成酶(AcSUS1)的克隆与表达分析 [J/OL]. 分子植物育种, 2023. . |
| Ren DL, Huang YC, Liu LY, et al. Cloning and expression analysis of sucrose synthase (AcSUS1) in ‘Hongyang’ kiwifruit [J/OL]. Mol Plant Breed, 2023. . | |
| [21] | 蒋开秀, 刘林娅, 何斌, 等. 红阳猕猴桃SnRK1的克隆及其在果实中的表达分析 [J]. 热带作物学报, 2025, 46(2): 300-309. |
| Jiang KX, Liu LY, He B, et al. Cloning and expression analysis of SnRK1 in Actinidia chinensis var. Hongyang [J]. Chin J Trop Crops, 2025, 46(2): 300-309. | |
| [22] | 刘林娅, 杨那, 代玥, 等. 一种大量提取猕猴桃不同组织高质量总RNA的方法 [J]. 江西农业学报, 2020, 32(9): 30-34. |
| Liu LY, Yang N, Dai Y, et al. An efficient method for isolating high-quality total RNA from different tissues of kiwifruit (Actinidia chinensis) [J]. Acta Agric Jiangxi, 2020, 32(9): 30-34. | |
| [23] | Yang HJ, Liu JL, Dang ML, et al. Analysis of β-galactosidase during fruit development and ripening in two different texture types of apple cultivars [J]. Front Plant Sci, 2018, 9: 539. |
| [24] | 魏佳, 陈磊, 刘培刚, 等. 桑树BGAL基因的全基因组鉴定及其在性别分化中的表达分析 [J]. 分子植物育种, 2023, 21(15): 4962-4972. |
| Wei J, Chen L, Liu PG, et al. Genome-wide analysis of mulberry (Morus alba) BGAL genes and their expression in sexual differentiation [J]. Mol Plant Breed, 2023, 21(15): 4962-4972. | |
| [25] | 曹领改, 刘杰, 张洁, 等. 普通烟草β-半乳糖苷酶基因(NtBGAL)的生信分析及其在不同组织及原核诱导的表达 [J]. 西南农业学报, 2024, 37(6): 1220-1227. |
| Cao LG, Liu J, Zhang J, et al. Bioinformatics analysis and expression in different tissues and prokaryotic induction of NtBGAL gene from Nicotiana tabacum [J]. Southwest China J Agric Sci, 2024, 37(6): 1220-1227. | |
| [26] | Cui Y, Cao Q, Li YP, et al. Advances in cis-element- and natural variation-mediated transcriptional regulation and applications in gene editing of major crops [J]. J Exp Bot, 2023, 74(18): 5441-5457. |
| [27] | 韩祉君, 赵艳菲, 卢悦, 等. 马铃薯氮同化关键酶基因StGOGATs的克隆及结构与功能分析 [J]. 作物杂志, 2023(5): 71-80. |
| Han ZJ, Zhao YF, Lu Y, et al. Cloning and analysis of the structure and function of the key enzyme genes StGOGATs of potato nitrogen assimilation [J]. Crops, 2023(5): 71-80. | |
| [28] | 王天禧, 杨炳松, 潘荣君, 等. 苹果PLATZ基因家族鉴定及MdPLATZ9基因功能研究 [J]. 生物技术通报, 2025, 41(4): 176-187. |
| Wang TX, Yang BS, Pan RJ, et al. Identification of the apple PLATZ gene family and functional study of the MdPLATZ9 gene [J]. Biotechnol Bull, 2025, 41(4): 176-187. | |
| [29] | Tateishi A, Shiba H, Ogihara J, et al. Differential expression and ethylene regulation of β-galactosidase genes and isozymes isolated from avocado (Persea americana Mill.) fruit [J]. Postharvest Biol Technol, 2007, 45(1): 56-65. |
| [30] | Li W, Yuan RC, Burns JK, et al. Genes for hormone biosynthesis and regulation are highly expressed in Citrus flowers infected with the fungus Colletotrichum acutatum, causal agent of postbloom fruit drop [J]. Jashs, 2003, 128(4): 578-583. |
| [31] | 谢新玥, 姚东良, 毛积鹏, 等. 氯吡脲CPPU处理对6个猕猴桃品种果实发育与品质的影响 [J/OL]. 陕西科技大学学报, 2025. . |
| Xie XY, Yao DL, Mao JP, et al. The effects of chloropyruron treatment on fruit development and quality of six kiwifruit varieties [J/OL]. J Shaanxi Univ Sci Technol, 2025. . | |
| [32] | Moneo-Sánchez M, Izquierdo L, Martín I, et al. Subcellular location of Arabidopsis thaliana subfamily a1 β-galactosidases and developmental regulation of transcript levels of their coding genes [J]. Plant Physiol Biochem, 2016, 109: 137-145. |
| [1] | 程婷婷, 刘俊, 王利丽, 练从龙, 魏文君, 郭辉, 吴尧琳, 杨晶凡, 兰金旭, 陈随清. 杜仲查尔酮异构酶基因家族全基因组鉴定及其表达模式分析[J]. 生物技术通报, 2025, 41(9): 242-255. |
| [2] | 徐小萍, 杨成龙, 和兴, 郭文杰, 吴健, 方少忠. 百合LoAPS1克隆及其在休眠解除过程的功能分析[J]. 生物技术通报, 2025, 41(9): 195-206. |
| [3] | 董向向, 缪百灵, 许贺娟, 陈娟娟, 李亮杰, 龚守富, 朱庆松. 森林草莓FveBBX20基因的生物信息学分析及开花调控功能[J]. 生物技术通报, 2025, 41(9): 115-123. |
| [4] | 李珊, 马登辉, 马红义, 姚文孔, 尹晓. 葡萄SKP1基因家族鉴定与表达分析[J]. 生物技术通报, 2025, 41(9): 147-158. |
| [5] | 黄国栋, 邓宇星, 程宏伟, 但焱南, 周会汶, 吴兰花. 大豆ZIP基因家族鉴定及响应铝胁迫的表达分析[J]. 生物技术通报, 2025, 41(9): 71-81. |
| [6] | 巩慧玲, 邢玉洁, 马俊贤, 蔡霞, 冯再平. 马铃薯LAC基因家族的鉴定及盐胁迫下表达分析[J]. 生物技术通报, 2025, 41(9): 82-93. |
| [7] | 刘佳丽, 宋经荣, 赵文宇, 张馨元, 赵子洋, 曹一博, 张凌云. 蓝莓R2R3-MYB基因鉴定及类黄酮调控基因表达分析[J]. 生物技术通报, 2025, 41(9): 124-138. |
| [8] | 化文平, 刘菲, 浩佳欣, 陈尘. 丹参ADH基因家族的鉴定与表达模式分析[J]. 生物技术通报, 2025, 41(8): 211-219. |
| [9] | 腊贵晓, 赵玉龙, 代丹丹, 余永亮, 郭红霞, 史贵霞, 贾慧, 杨铁钢. 红花质膜H+-ATPase基因家族成员鉴定及响应低氮低磷胁迫的表达分析[J]. 生物技术通报, 2025, 41(8): 220-233. |
| [10] | 白雨果, 李婉迪, 梁建萍, 石志勇, 卢庚龙, 刘红军, 牛景萍. 哈茨木霉T9131对黄芪幼苗的促生机理[J]. 生物技术通报, 2025, 41(8): 175-185. |
| [11] | 赖诗雨, 梁巧兰, 魏列新, 牛二波, 陈应娥, 周鑫, 杨思正, 王博. NbJAZ3在苜蓿花叶病毒侵染本氏烟过程中的作用[J]. 生物技术通报, 2025, 41(8): 186-196. |
| [12] | 任睿斌, 司二静, 万广有, 汪军成, 姚立蓉, 张宏, 马小乐, 李葆春, 王化俊, 孟亚雄. 大麦条纹病菌GH17基因家族的鉴定及表达分析[J]. 生物技术通报, 2025, 41(8): 146-154. |
| [13] | 曾丹, 黄园, 王健, 张艳, 刘庆霞, 谷荣辉, 孙庆文, 陈宏宇. 铁皮石斛bZIP转录因子家族全基因组鉴定及表达分析[J]. 生物技术通报, 2025, 41(8): 197-210. |
| [14] | 李凯月, 邓晓霞, 殷缘, 杜亚彤, 徐元静, 王竞红, 于耸, 蔺吉祥. 蓖麻LEA基因家族的鉴定和铝胁迫响应分析[J]. 生物技术通报, 2025, 41(7): 128-138. |
| [15] | 牛景萍, 赵婧, 郭茜, 王书宏, 赵晋忠, 杜维俊, 殷丛丛, 岳爱琴. 基于WGCNA鉴定大豆抗大豆花叶病毒NAC转录因子及其诱导表达分析[J]. 生物技术通报, 2025, 41(7): 95-105. |
| 阅读次数 | ||||||
|
全文 |
|
|||||
|
摘要 |
|
|||||